mp-976401/Ge3Rh2Se3/anharm

Harmonic properties

../../_images/fig_bandos_pr1039.png

(a) Phonon dispersion with participation ratio and DOS

../../_images/fig_thermo1039.png

(b) Thermodynamic properties

Grüneisen parameters

../../_images/fig_gru_all637.png

(a) Grüneisen parameters

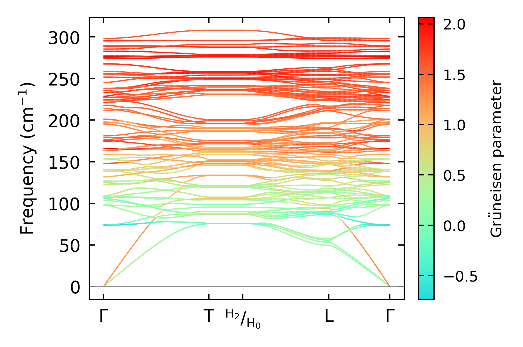
../../_images/fig_gruneisen637.png

(b) Phonon dispersion with Grüneisen parameters

Thermal conductivity

3-phonon (LASSO) — q-mesh: 8x8x8, supercell: 1x1x1

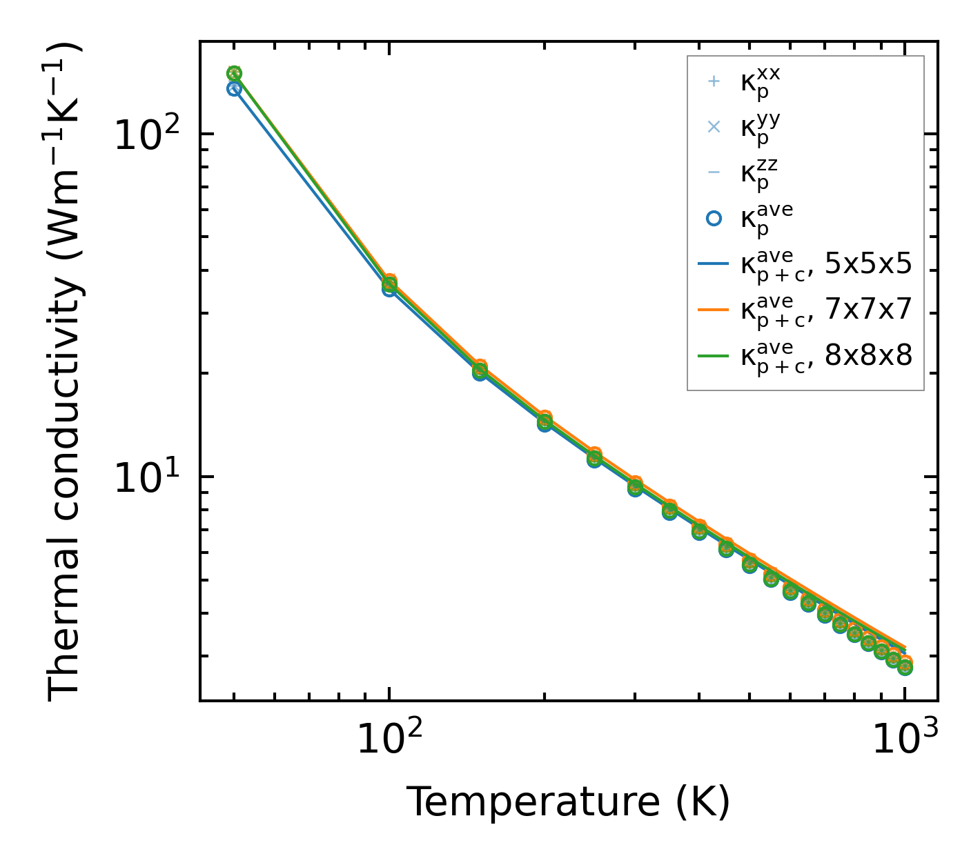
../../_images/fig_kappa1240.png

(a) Temperature-dependent lattice thermal conductivity

../../_images/fig_kappa_vs_grain_size645.png

(b) Peierls lattice thermal conductivity w.r.t grain size

Phonon lifetime and scattering rates

../../_images/fig_lifetime635.png

(a) Phonon lifetime due to phonon-phonon scattering

../../_images/fig_scat_rates634.png

(b) Phonon scattering rates

Cumulative and spectral thermal conductivity

../../_images/fig_cumu_frequency635.png

(a) Spectral and cumulative thermal conductivity w.r.t frequency

../../_images/fig_cumu_mfp635.png

(b) Spectral and cumulative thermal conductivity w.r.t MFP

Force constants

../../_images/fig_fc2907.png

(a) Force constants w.r.t atomic distance

Summary

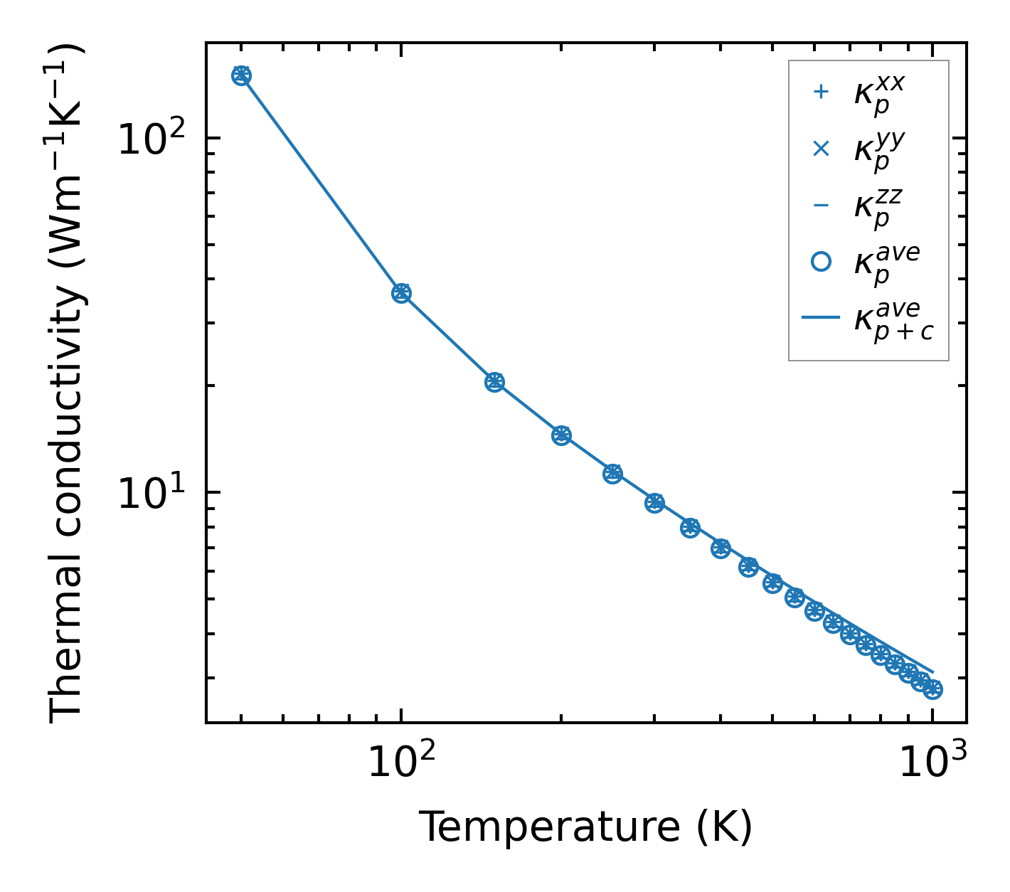
../../_images/fig_kappa1241.png

(a) Temperature-dependent lattice thermal conductivity

../../_images/fig_times1554.png

(b) Computation time