mp-976349/LuH2ClO2/anharm

Harmonic properties

../../_images/fig_bandos_pr1037.png

(a) Phonon dispersion with participation ratio and DOS

../../_images/fig_thermo1037.png

(b) Thermodynamic properties

Grüneisen parameters

../../_images/fig_gru_all635.png

(a) Grüneisen parameters

../../_images/fig_gruneisen635.png

(b) Phonon dispersion with Grüneisen parameters

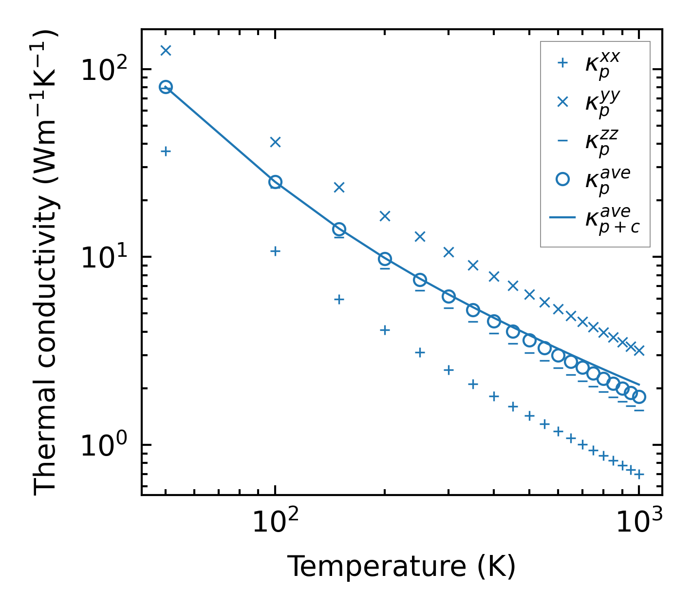
Thermal conductivity

3-phonon (LASSO) — q-mesh: 5x20x11, supercell: 1x3x2

../../_images/fig_kappa1236.png

(a) Temperature-dependent lattice thermal conductivity

../../_images/fig_kappa_vs_grain_size643.png

(b) Peierls lattice thermal conductivity w.r.t grain size

Phonon lifetime and scattering rates

../../_images/fig_lifetime633.png

(a) Phonon lifetime due to phonon-phonon scattering

../../_images/fig_scat_rates632.png

(b) Phonon scattering rates

Cumulative and spectral thermal conductivity

../../_images/fig_cumu_frequency633.png

(a) Spectral and cumulative thermal conductivity w.r.t frequency

../../_images/fig_cumu_mfp633.png

(b) Spectral and cumulative thermal conductivity w.r.t MFP

Force constants

../../_images/fig_fc2905.png

(a) Force constants w.r.t atomic distance

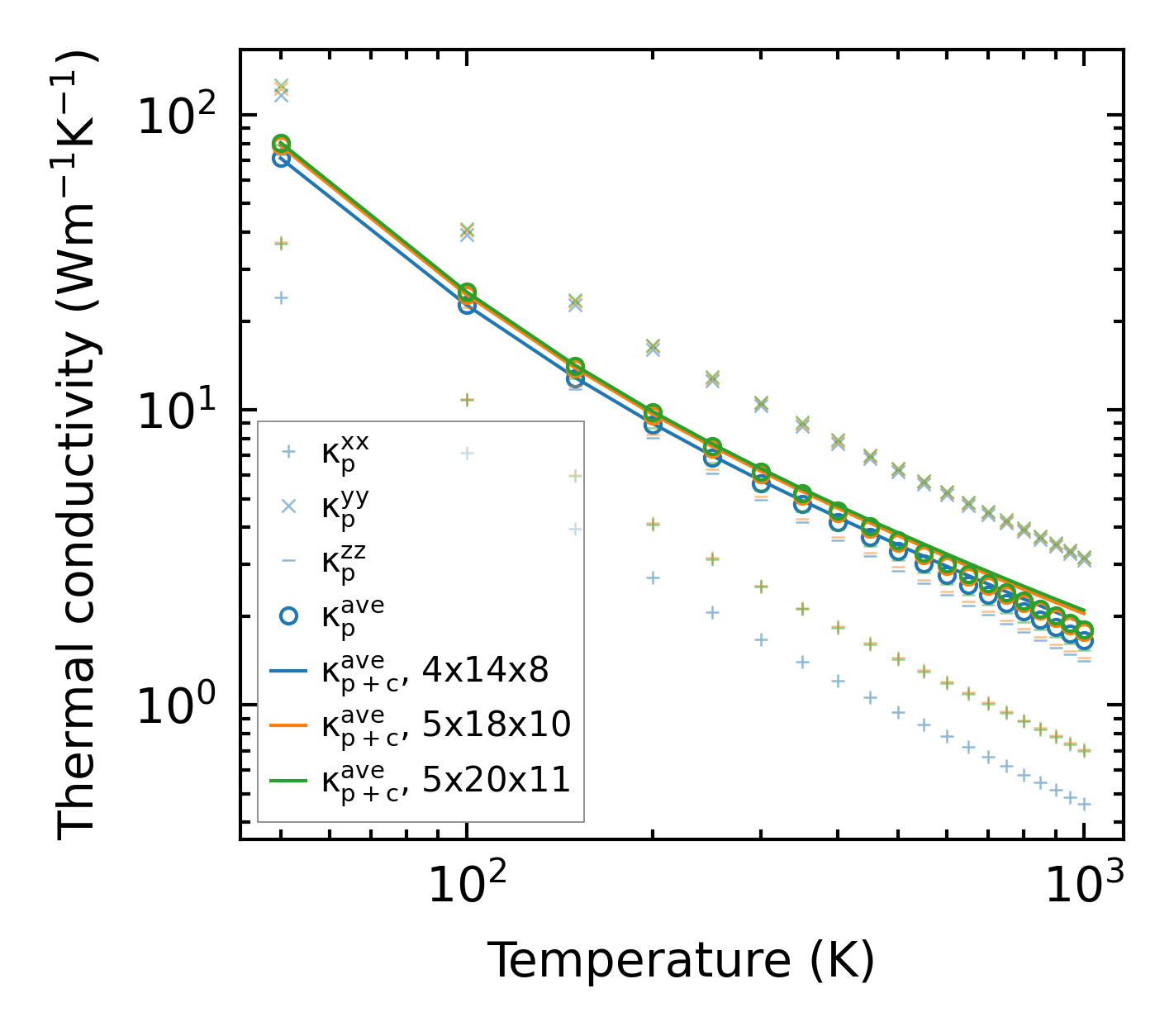
Summary

../../_images/fig_kappa1237.png

(a) Temperature-dependent lattice thermal conductivity

../../_images/fig_times1552.png

(b) Computation time