mp-972384/V2Se2O11/harm

Harmonic properties

../../_images/fig_bandos_pr1000.png

(a) Phonon dispersion with participation ratio and DOS

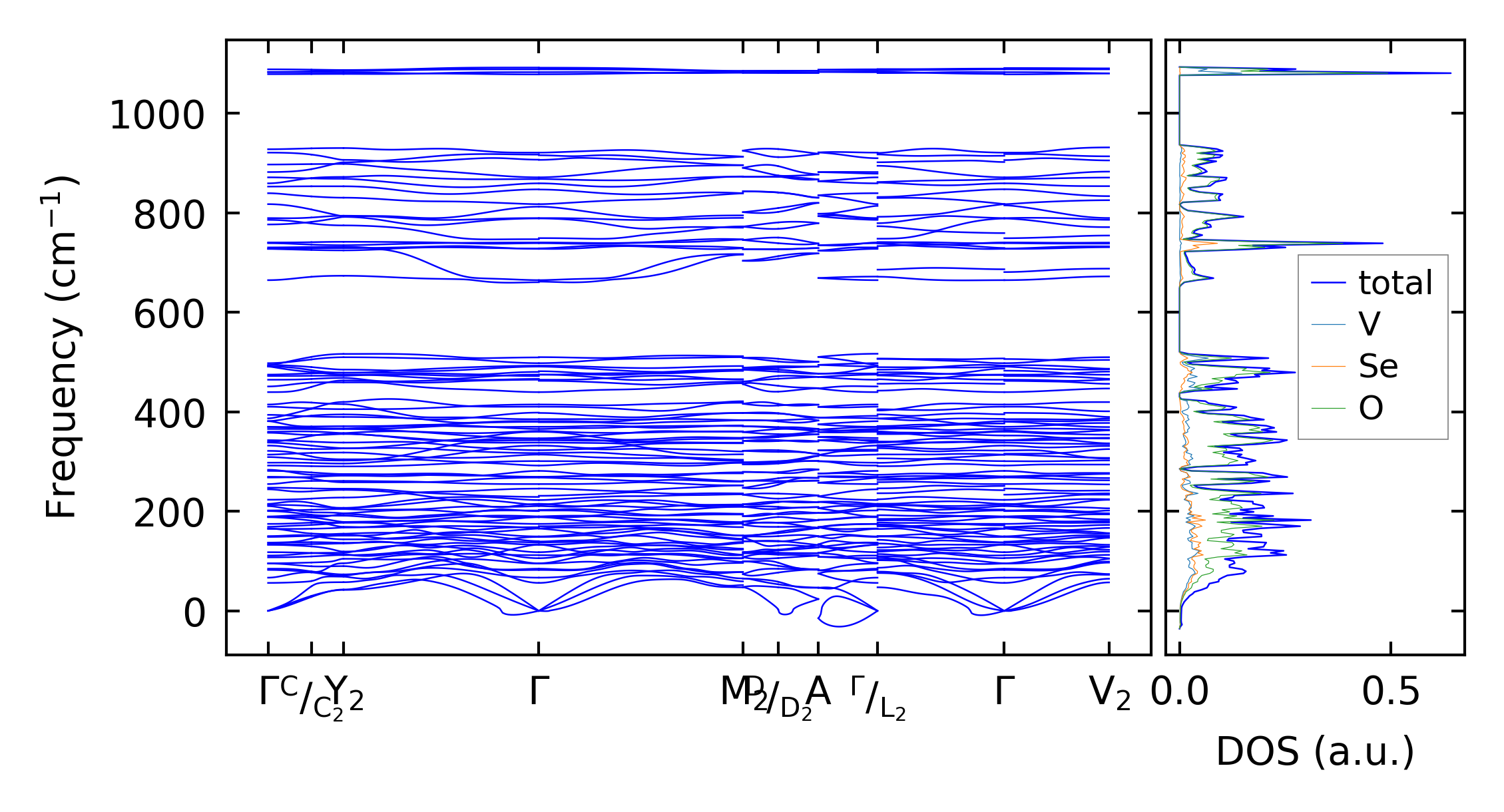
../../_images/fig_bandos924.png

(b) Phonon dispersion and DOS

../../_images/fig_thermo1000.png

(c) Thermodynamic properties

Force constants

../../_images/fig_fc2869.png

(a) Force constants w.r.t atomic distance

Summary

../../_images/fig_times1490.png

(a) Computation time