mp-971683/C3N4/harm

Harmonic properties

../../_images/fig_bandos_pr993.png

(a) Phonon dispersion with participation ratio and DOS

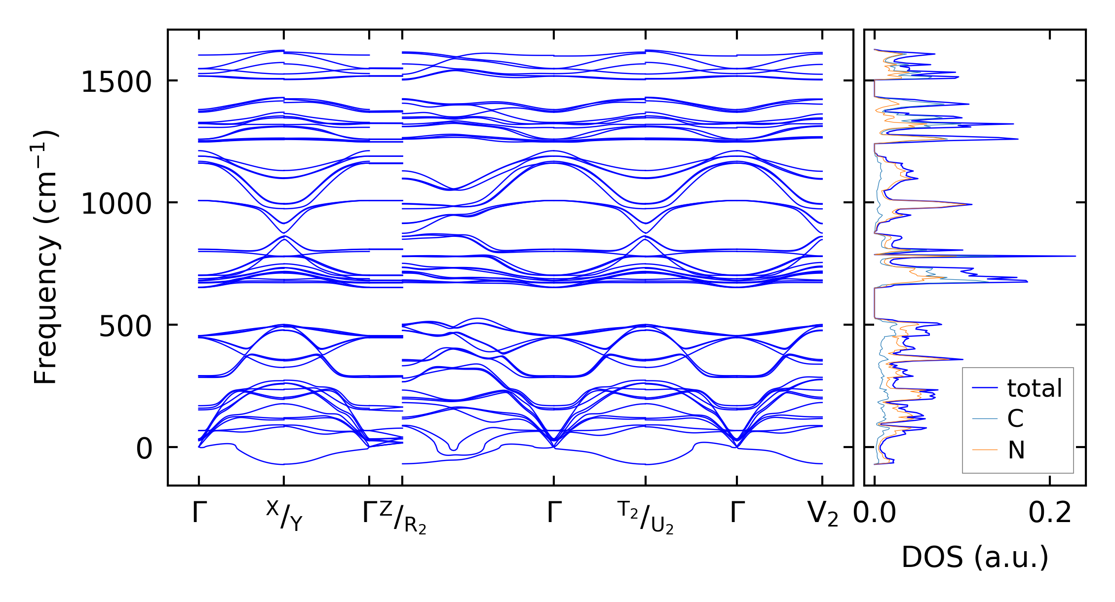
../../_images/fig_bandos916.png

(b) Phonon dispersion and DOS

../../_images/fig_thermo993.png

(c) Thermodynamic properties

Force constants

../../_images/fig_fc2862.png

(a) Force constants w.r.t atomic distance

Summary

../../_images/fig_times1478.png

(a) Computation time