mp-971662/Si/anharm

Harmonic properties

../../_images/fig_bandos_pr992.png

(a) Phonon dispersion with participation ratio and DOS

../../_images/fig_thermo992.png

(b) Thermodynamic properties

Grüneisen parameters

../../_images/fig_gru_all613.png

(a) Grüneisen parameters

../../_images/fig_gruneisen613.png

(b) Phonon dispersion with Grüneisen parameters

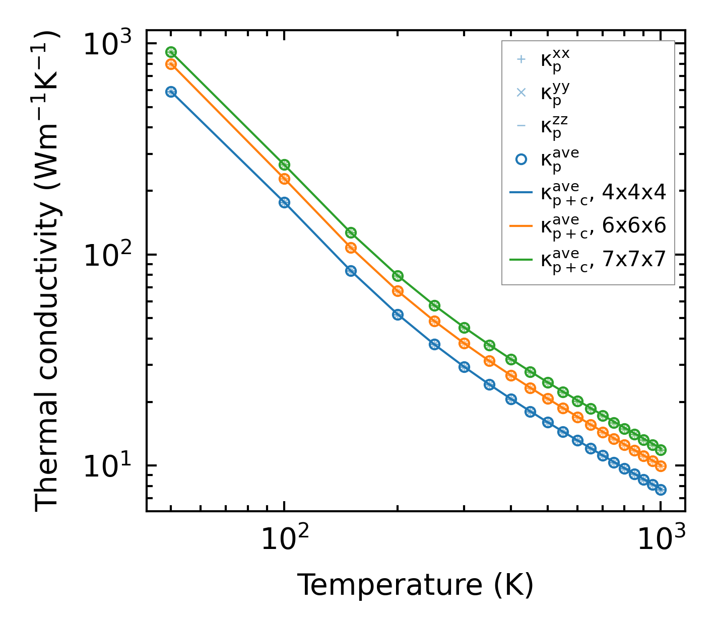
Thermal conductivity

3-phonon (LASSO) — q-mesh: 7x7x7, supercell: 1x1x1

../../_images/fig_kappa1193.png

(a) Temperature-dependent lattice thermal conductivity

../../_images/fig_kappa_vs_grain_size621.png

(b) Peierls lattice thermal conductivity w.r.t grain size

Phonon lifetime and scattering rates

../../_images/fig_lifetime611.png

(a) Phonon lifetime due to phonon-phonon scattering

../../_images/fig_scat_rates610.png

(b) Phonon scattering rates

Cumulative and spectral thermal conductivity

../../_images/fig_cumu_frequency611.png

(a) Spectral and cumulative thermal conductivity w.r.t frequency

../../_images/fig_cumu_mfp611.png

(b) Spectral and cumulative thermal conductivity w.r.t MFP

Force constants

../../_images/fig_fc2861.png

(a) Force constants w.r.t atomic distance

Summary

../../_images/fig_kappa1194.png

(a) Temperature-dependent lattice thermal conductivity

../../_images/fig_times1476.png

(b) Computation time