mp-924129/ZrNiSn/anharm

Harmonic properties

../../_images/fig_bandos_pr1293.png

(a) Phonon dispersion with participation ratio and DOS

../../_images/fig_thermo1293.png

(b) Thermodynamic properties

Grüneisen parameters

../../_images/fig_gru_all798.png

(a) Grüneisen parameters

../../_images/fig_gruneisen798.png

(b) Phonon dispersion with Grüneisen parameters

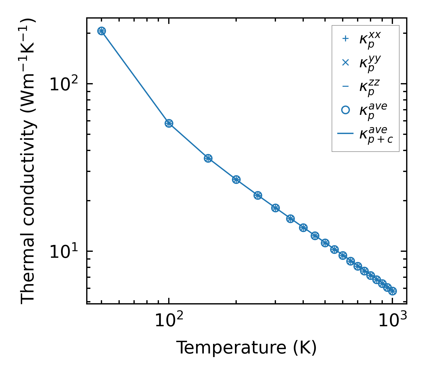
Thermal conductivity

3-phonon — q-mesh: 18x18x18, supercell: 2x2x2

../../_images/fig_kappa1549.png

(a) Temperature-dependent lattice thermal conductivity

../../_images/fig_kappa_vs_grain_size807.png

(b) Peierls lattice thermal conductivity w.r.t grain size

Phonon lifetime and scattering rates

../../_images/fig_lifetime792.png

(a) Phonon lifetime due to phonon-phonon scattering

../../_images/fig_scat_rates791.png

(b) Phonon scattering rates

Cumulative and spectral thermal conductivity

../../_images/fig_cumu_frequency792.png

(a) Spectral and cumulative thermal conductivity w.r.t frequency

../../_images/fig_cumu_mfp792.png

(b) Spectral and cumulative thermal conductivity w.r.t MFP

Force constants

../../_images/fig_fc3135.png

(a) Force constants w.r.t atomic distance

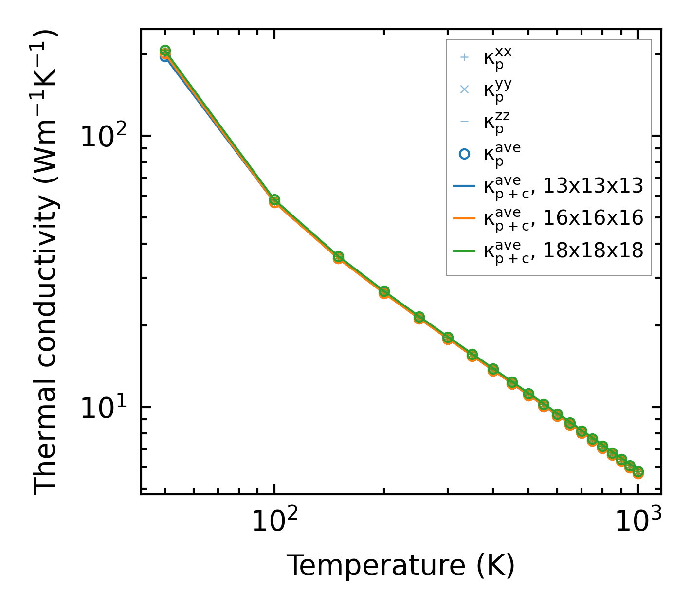
Summary

../../_images/fig_kappa1550.png

(a) Temperature-dependent lattice thermal conductivity

../../_images/fig_times1931.png

(b) Computation time