mp-924128/HfNiSn/anharm

Harmonic properties

../../_images/fig_bandos_pr1292.png

(a) Phonon dispersion with participation ratio and DOS

../../_images/fig_thermo1292.png

(b) Thermodynamic properties

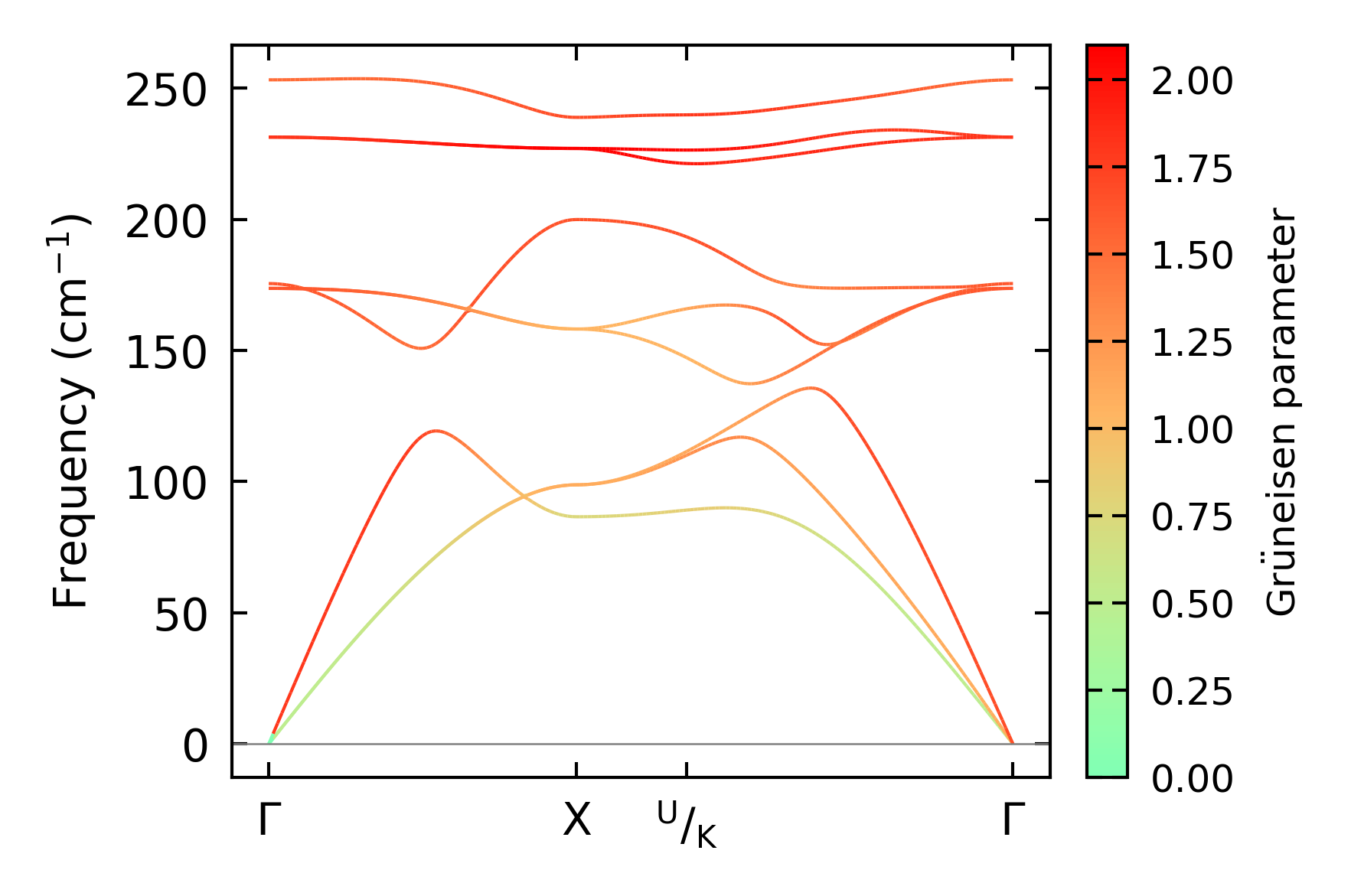
Grüneisen parameters

../../_images/fig_gru_all797.png

(a) Grüneisen parameters

../../_images/fig_gruneisen797.png

(b) Phonon dispersion with Grüneisen parameters

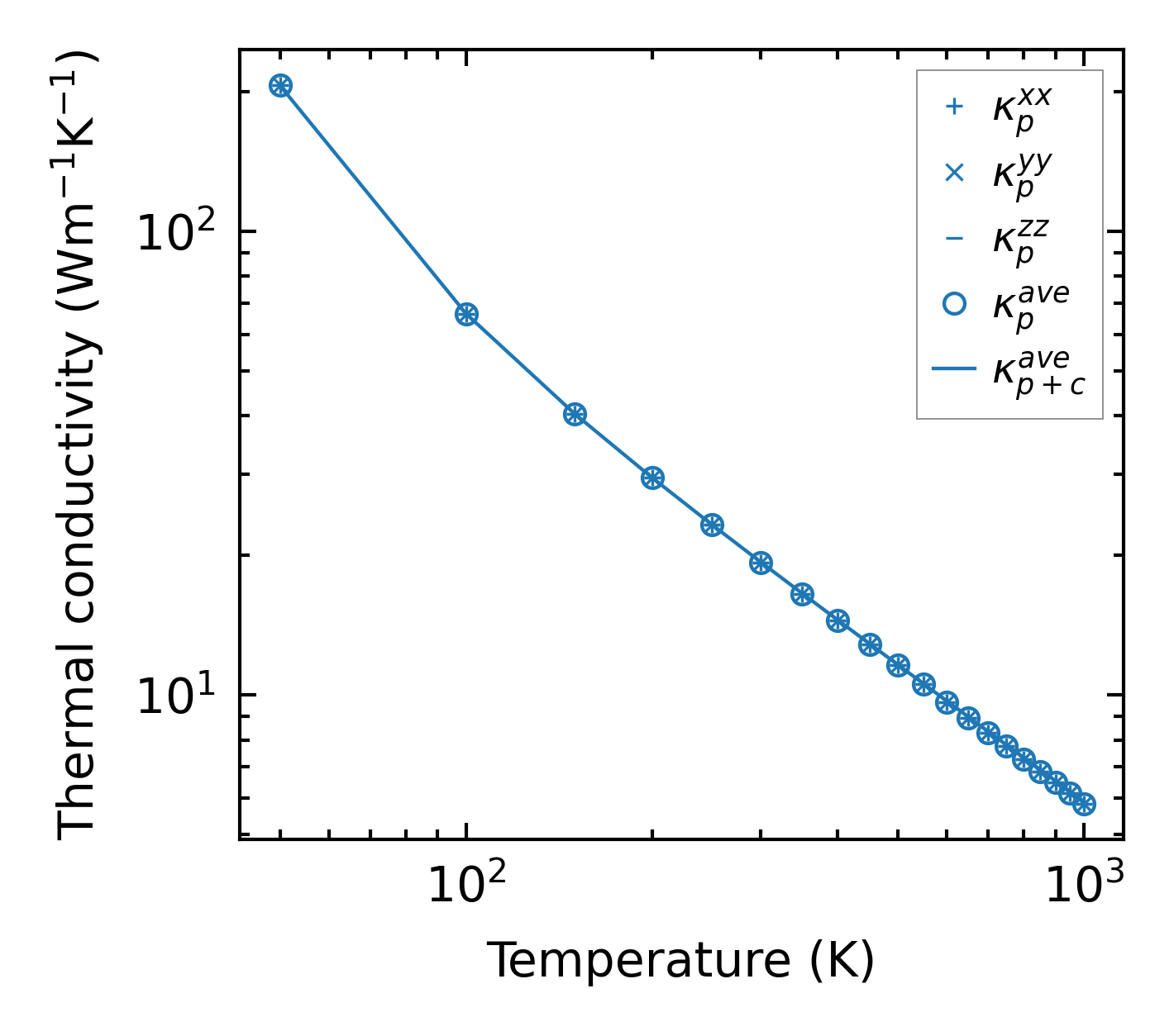
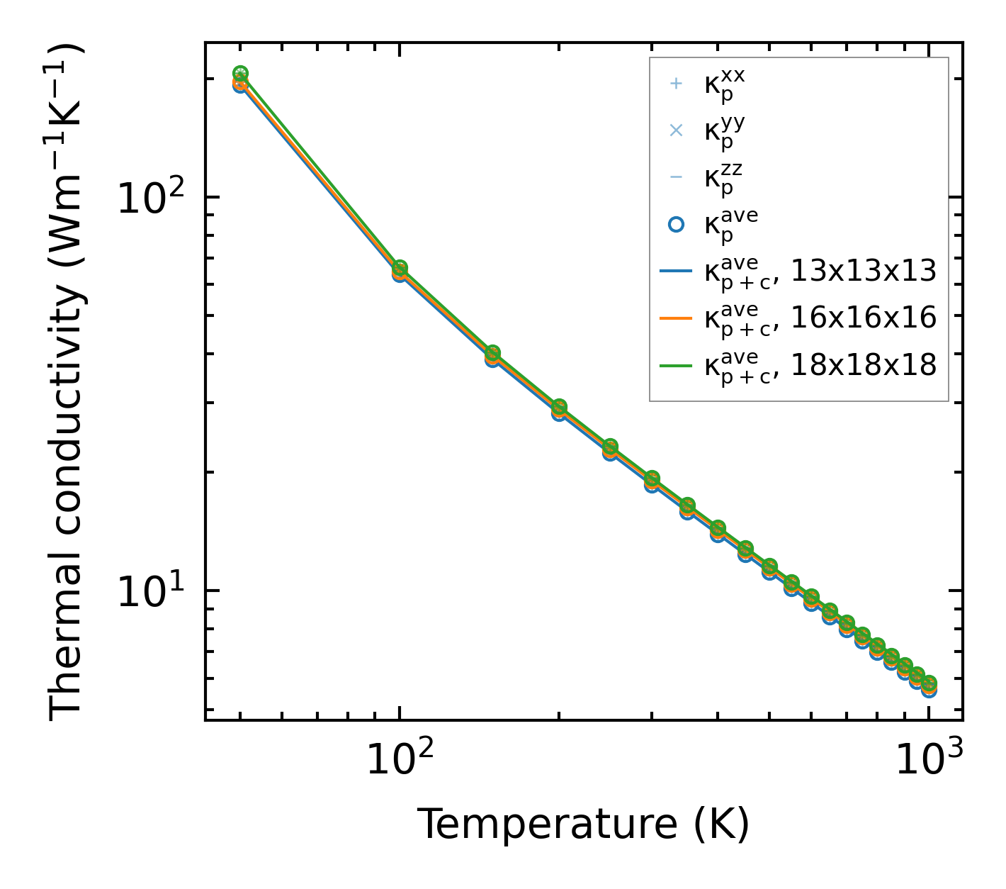
Thermal conductivity

3-phonon — q-mesh: 18x18x18, supercell: 2x2x2

../../_images/fig_kappa1547.png

(a) Temperature-dependent lattice thermal conductivity

../../_images/fig_kappa_vs_grain_size806.png

(b) Peierls lattice thermal conductivity w.r.t grain size

Phonon lifetime and scattering rates

../../_images/fig_lifetime791.png

(a) Phonon lifetime due to phonon-phonon scattering

../../_images/fig_scat_rates790.png

(b) Phonon scattering rates

Cumulative and spectral thermal conductivity

../../_images/fig_cumu_frequency791.png

(a) Spectral and cumulative thermal conductivity w.r.t frequency

../../_images/fig_cumu_mfp791.png

(b) Spectral and cumulative thermal conductivity w.r.t MFP

Force constants

../../_images/fig_fc3134.png

(a) Force constants w.r.t atomic distance

Summary

../../_images/fig_kappa1548.png

(a) Temperature-dependent lattice thermal conductivity

../../_images/fig_times1930.png

(b) Computation time