mp-863760/CsAcTe2/anharm

Harmonic properties

../../_images/fig_bandos_pr1538.png

(a) Phonon dispersion with participation ratio and DOS

../../_images/fig_thermo1538.png

(b) Thermodynamic properties

Grüneisen parameters

../../_images/fig_gru_all925.png

(a) Grüneisen parameters

../../_images/fig_gruneisen925.png

(b) Phonon dispersion with Grüneisen parameters

Thermal conductivity

3-phonon — q-mesh: 13x13x13, supercell: 2x2x2

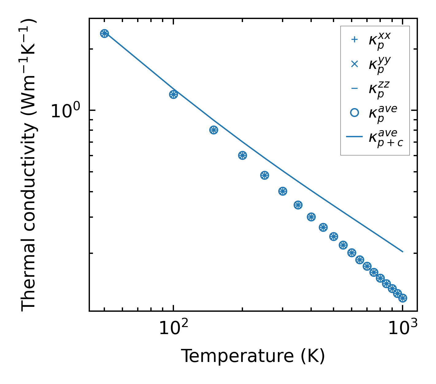
../../_images/fig_kappa1796.png

(a) Temperature-dependent lattice thermal conductivity

../../_images/fig_kappa_vs_grain_size935.png

(b) Peierls lattice thermal conductivity w.r.t grain size

Phonon lifetime and scattering rates

../../_images/fig_lifetime918.png

(a) Phonon lifetime due to phonon-phonon scattering

../../_images/fig_scat_rates917.png

(b) Phonon scattering rates

Cumulative and spectral thermal conductivity

../../_images/fig_cumu_frequency918.png

(a) Spectral and cumulative thermal conductivity w.r.t frequency

../../_images/fig_cumu_mfp918.png

(b) Spectral and cumulative thermal conductivity w.r.t MFP

Force constants

../../_images/fig_fc3154.png

(a) Force constants w.r.t atomic distance

Summary

../../_images/fig_kappa1797.png

(a) Temperature-dependent lattice thermal conductivity

../../_images/fig_times2296.png

(b) Computation time