mp-863747/K4P2PdS8/anharm

Harmonic properties

../../_images/fig_bandos_pr1533.png

(a) Phonon dispersion with participation ratio and DOS

../../_images/fig_thermo1533.png

(b) Thermodynamic properties

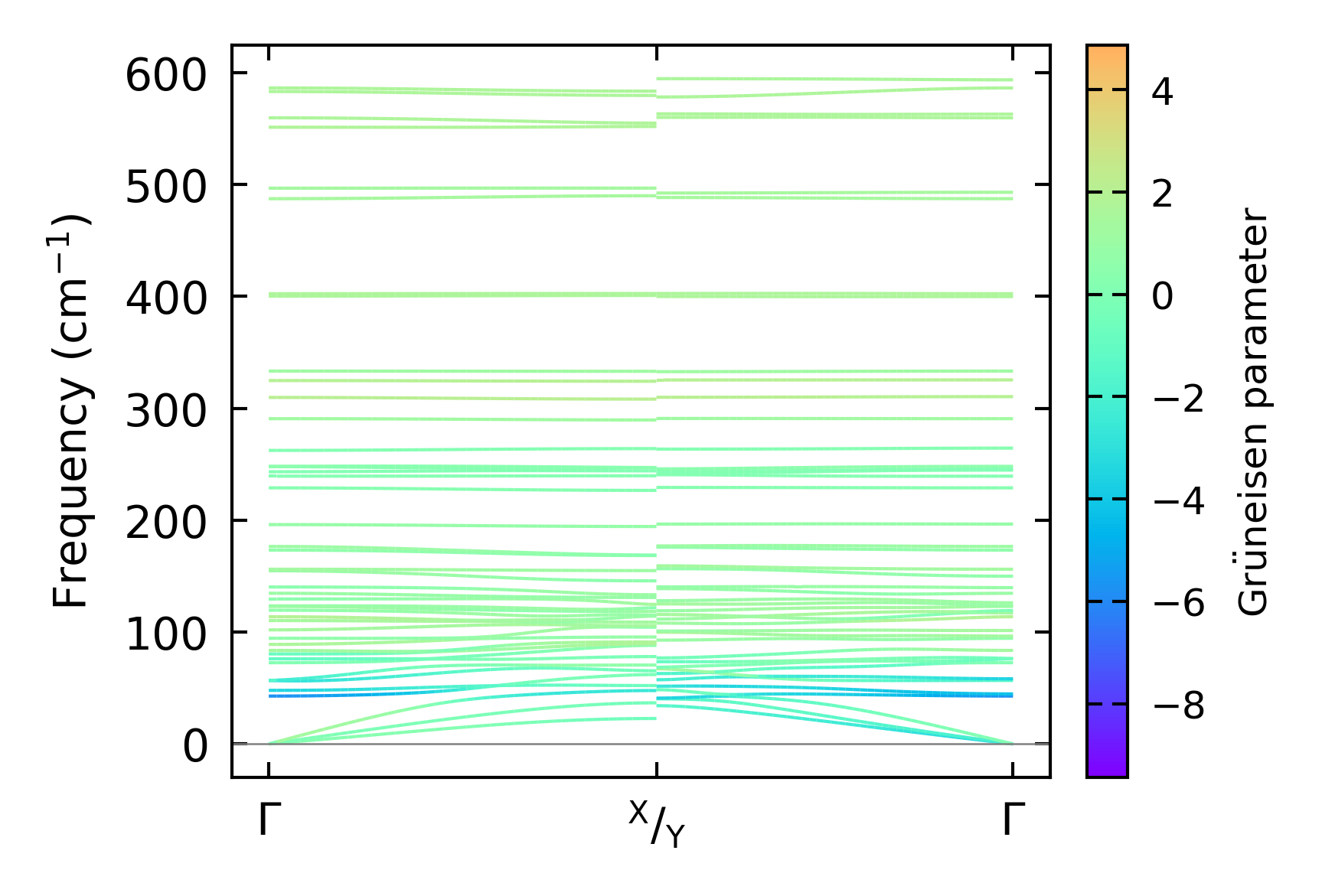
Grüneisen parameters

../../_images/fig_gru_all922.png

(a) Grüneisen parameters

../../_images/fig_gruneisen922.png

(b) Phonon dispersion with Grüneisen parameters

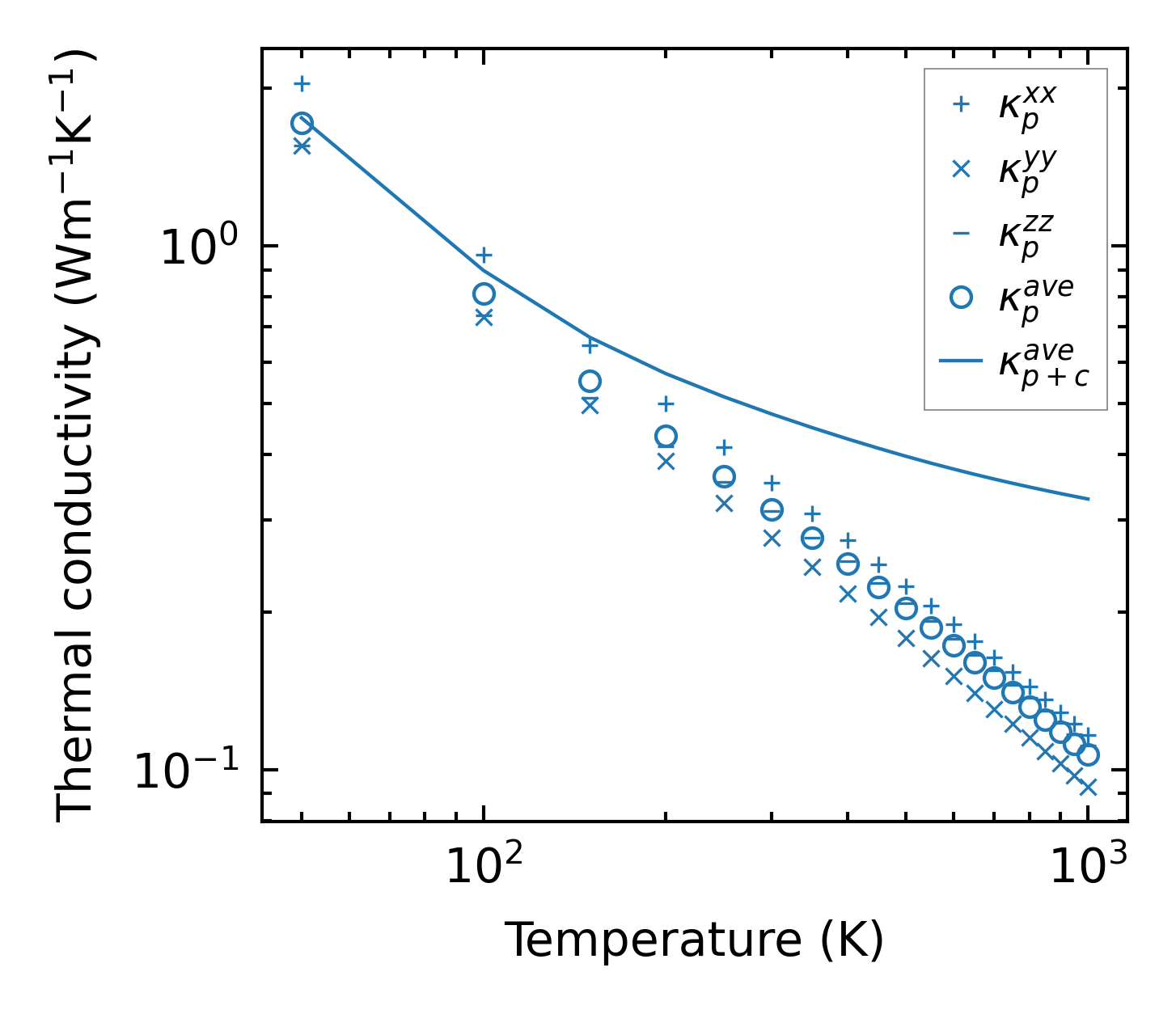
Thermal conductivity

3-phonon (LASSO) — q-mesh: 11x10x8, supercell: 2x2x2

../../_images/fig_kappa1791.png

(a) Temperature-dependent lattice thermal conductivity

../../_images/fig_kappa_vs_grain_size932.png

(b) Peierls lattice thermal conductivity w.r.t grain size

Phonon lifetime and scattering rates

../../_images/fig_lifetime915.png

(a) Phonon lifetime due to phonon-phonon scattering

../../_images/fig_scat_rates914.png

(b) Phonon scattering rates

Cumulative and spectral thermal conductivity

../../_images/fig_cumu_frequency915.png

(a) Spectral and cumulative thermal conductivity w.r.t frequency

../../_images/fig_cumu_mfp915.png

(b) Spectral and cumulative thermal conductivity w.r.t MFP

Force constants

../../_images/fig_fc21380.png

(a) Force constants w.r.t atomic distance

Summary

../../_images/fig_kappa1792.png

(a) Temperature-dependent lattice thermal conductivity

../../_images/fig_times2290.png

(b) Computation time