mp-859874/Mg2PbO4/anharm

Harmonic properties

../../_images/fig_bandos_pr1743.png

(a) Phonon dispersion with participation ratio and DOS

../../_images/fig_thermo1743.png

(b) Thermodynamic properties

Grüneisen parameters

../../_images/fig_gru_all993.png

(a) Grüneisen parameters

../../_images/fig_gruneisen993.png

(b) Phonon dispersion with Grüneisen parameters

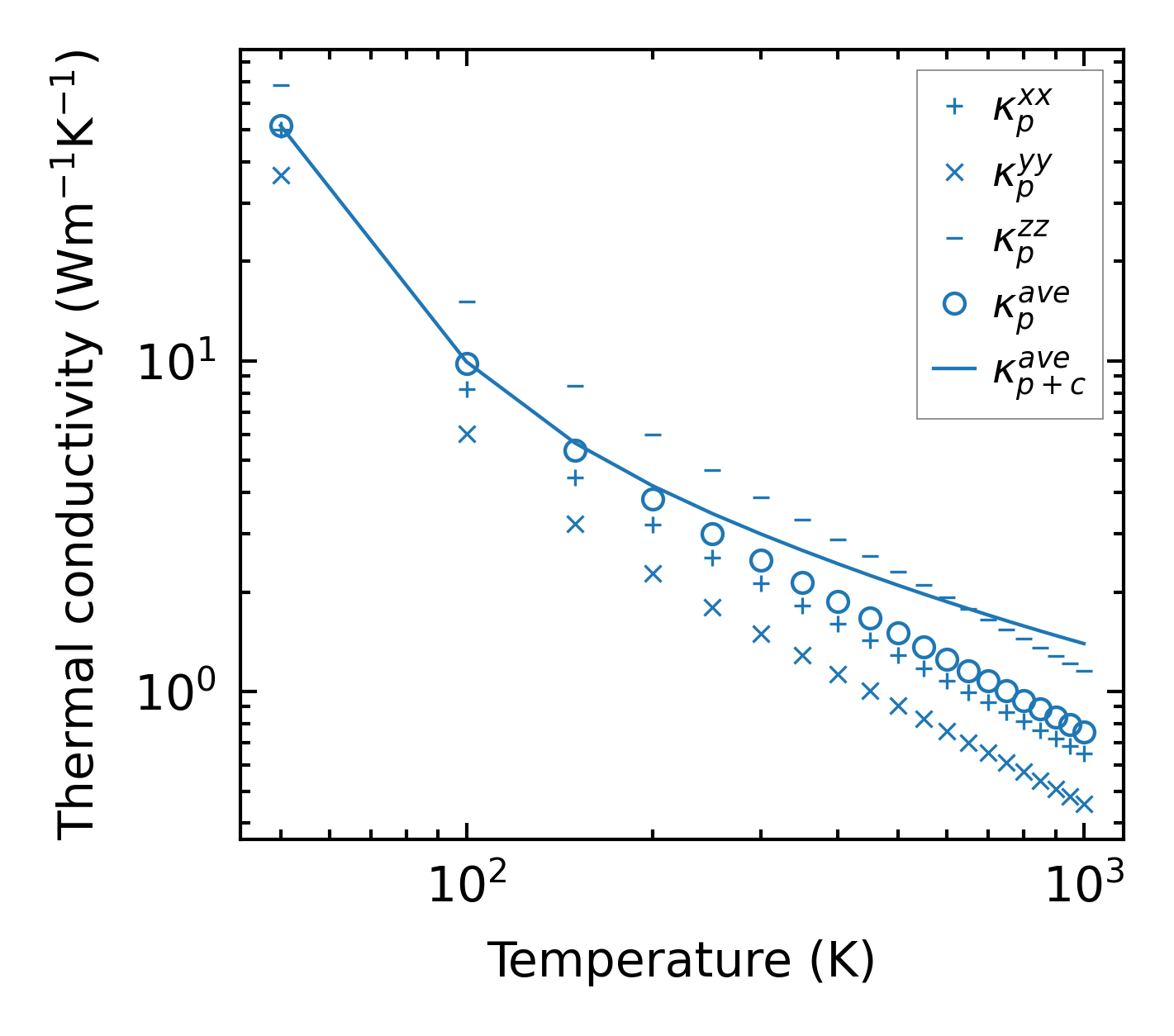
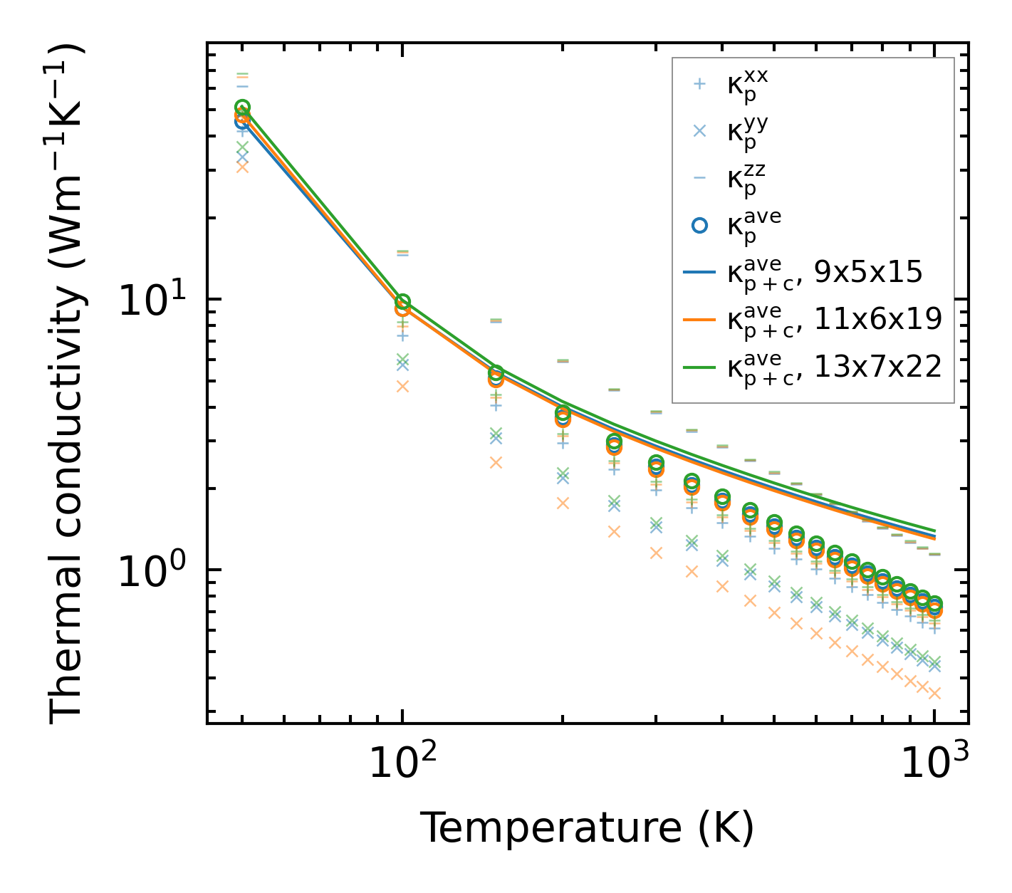
Thermal conductivity

3-phonon (LASSO) — q-mesh: 13x7x22, supercell: 2x1x4

../../_images/fig_kappa1925.png

(a) Temperature-dependent lattice thermal conductivity

../../_images/fig_kappa_vs_grain_size1005.png

(b) Peierls lattice thermal conductivity w.r.t grain size

Phonon lifetime and scattering rates

../../_images/fig_lifetime986.png

(a) Phonon lifetime due to phonon-phonon scattering

../../_images/fig_scat_rates985.png

(b) Phonon scattering rates

Cumulative and spectral thermal conductivity

../../_images/fig_cumu_frequency986.png

(a) Spectral and cumulative thermal conductivity w.r.t frequency

../../_images/fig_cumu_mfp986.png

(b) Spectral and cumulative thermal conductivity w.r.t MFP

Force constants

../../_images/fig_fc21575.png

(a) Force constants w.r.t atomic distance

Summary

../../_images/fig_kappa1926.png

(a) Temperature-dependent lattice thermal conductivity

../../_images/fig_times2663.png

(b) Computation time