mp-851112-2/Ba9La5Br33/anharm

Equation of state

../../_images/fig_bm675.png

(a) Equation of state

Harmonic properties

../../_images/fig_bandos_pr1732.png

(a) Phonon dispersion with participation ratio and DOS

../../_images/fig_bandos1734.png

(b) Phonon dispersion and DOS

../../_images/fig_thermo1732.png

(c) Thermodynamic properties

Grüneisen parameters

../../_images/fig_gru_all992.png

(a) Grüneisen parameters

../../_images/fig_gruneisen992.png

(b) Phonon dispersion with Grüneisen parameters

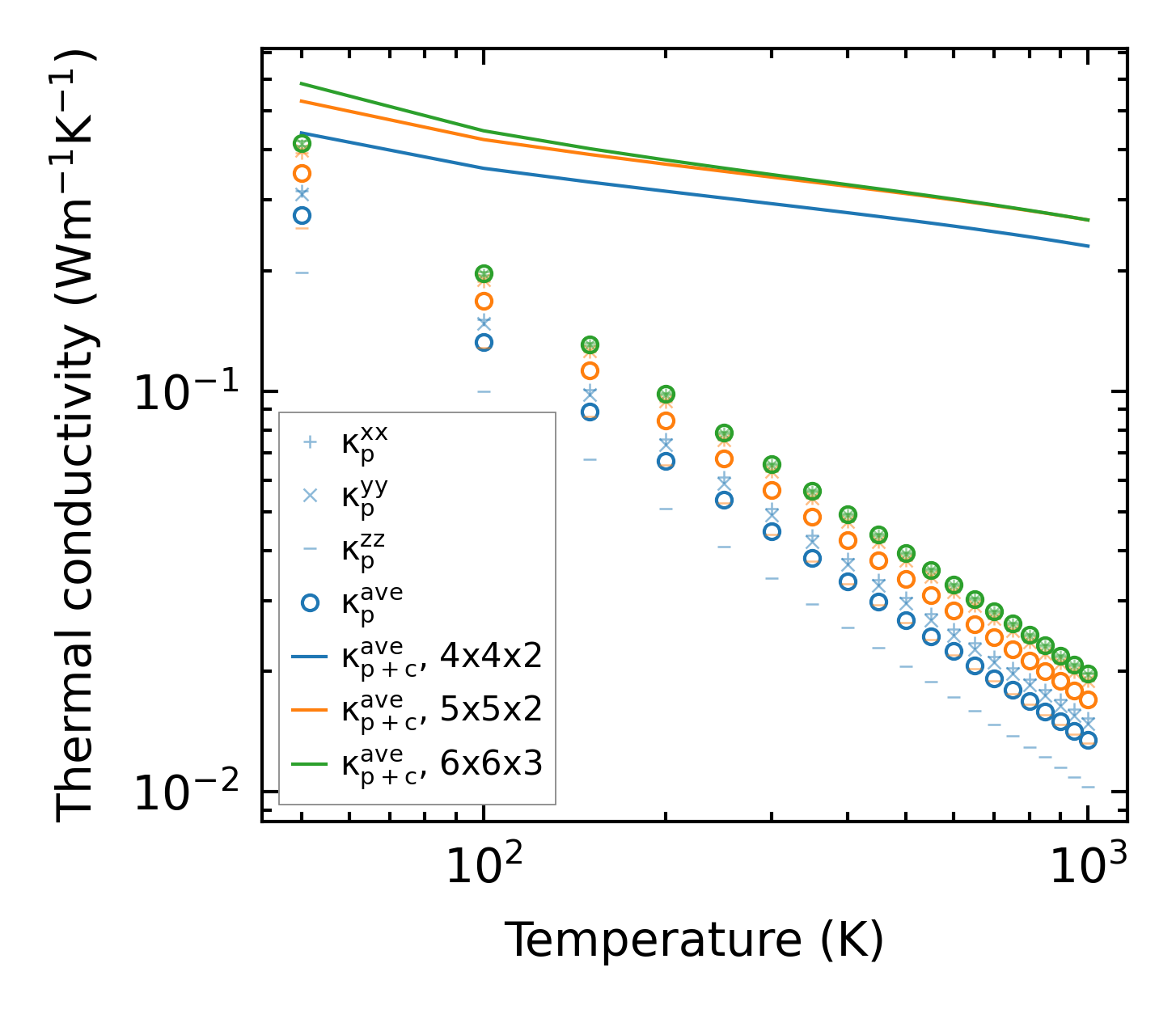
Thermal conductivity

3-phonon (LASSO) — q-mesh: 6x6x3, supercell: 1x1x1

../../_images/fig_kappa1922.png

(a) Temperature-dependent lattice thermal conductivity

../../_images/fig_kappa_vs_grain_size1003.png

(b) Peierls lattice thermal conductivity w.r.t grain size

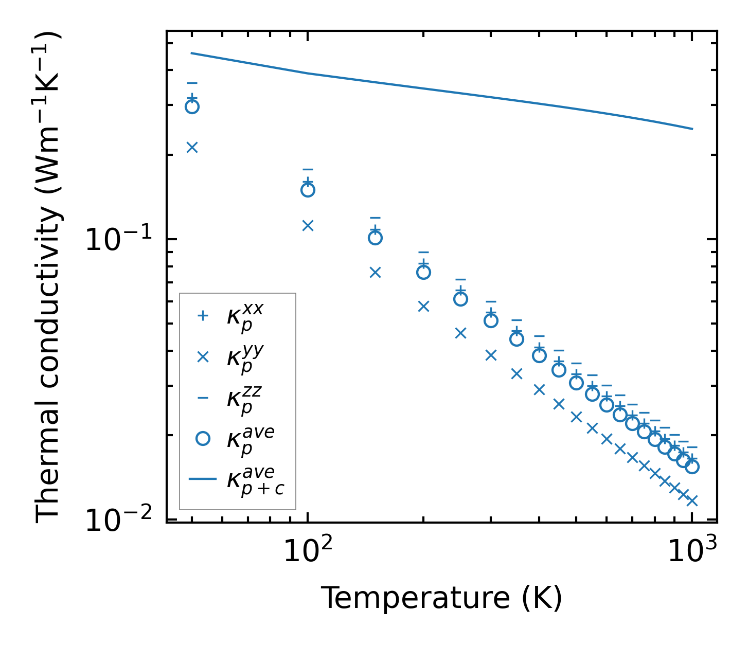
3-phonon (LASSO), supercell 2x1x1 — q-mesh: 6x6x3, supercell: 2x1x1

../../_images/fig_kappa1923.png

(a) Temperature-dependent lattice thermal conductivity

../../_images/fig_kappa_vs_grain_size1004.png

(b) Peierls lattice thermal conductivity w.r.t grain size

Phonon lifetime and scattering rates

../../_images/fig_lifetime985.png

(a) Phonon lifetime due to phonon-phonon scattering

../../_images/fig_scat_rates984.png

(b) Phonon scattering rates

Cumulative and spectral thermal conductivity

../../_images/fig_cumu_frequency985.png

(a) Spectral and cumulative thermal conductivity w.r.t frequency

../../_images/fig_cumu_mfp985.png

(b) Spectral and cumulative thermal conductivity w.r.t MFP

Force constants

../../_images/fig_fc21564.png

(a) Force constants w.r.t atomic distance

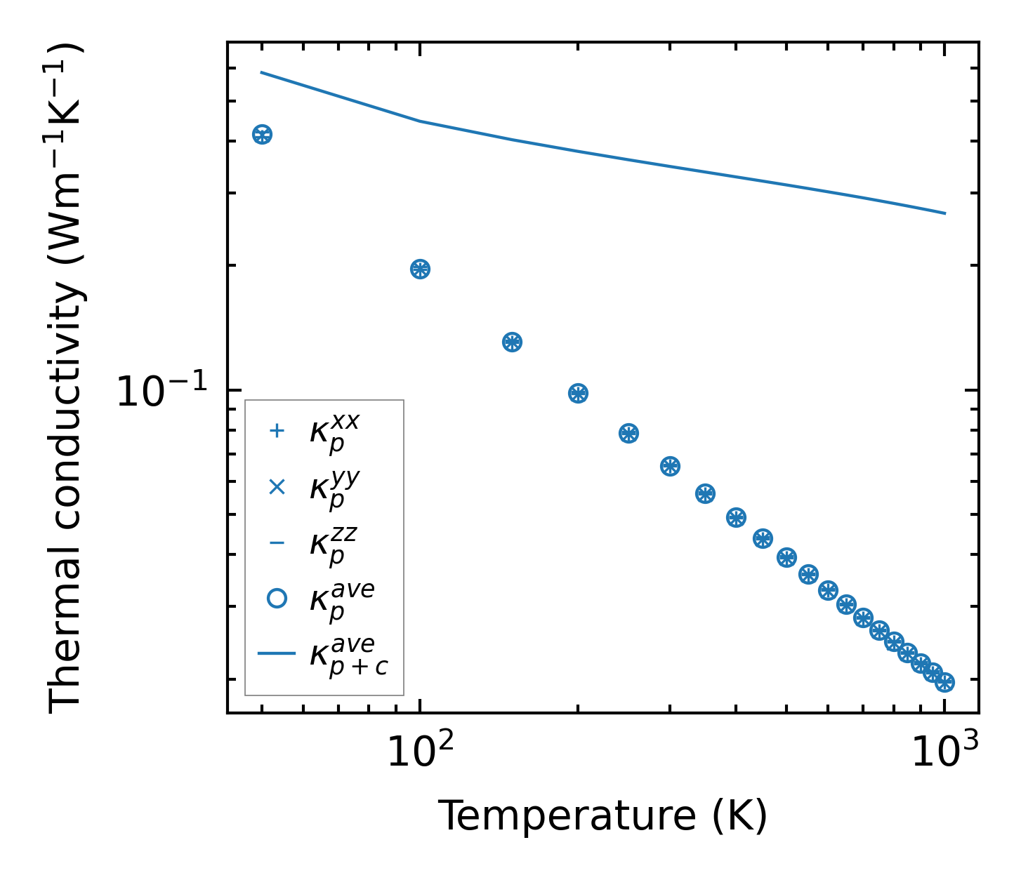
Summary

../../_images/fig_kappa1924.png

(a) Temperature-dependent lattice thermal conductivity

../../_images/fig_times2640.png

(b) Computation time