mp-781505/Ca3WO6/anharm

Harmonic properties

../../_images/fig_bandos_pr2006.png

(a) Phonon dispersion with participation ratio and DOS

../../_images/fig_thermo2006.png

(b) Thermodynamic properties

Grüneisen parameters

../../_images/fig_gru_all1146.png

(a) Grüneisen parameters

../../_images/fig_gruneisen1146.png

(b) Phonon dispersion with Grüneisen parameters

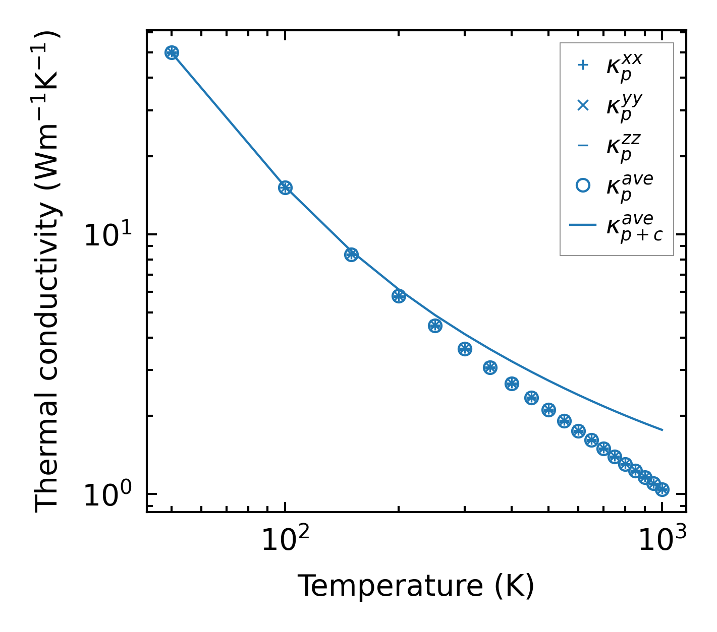
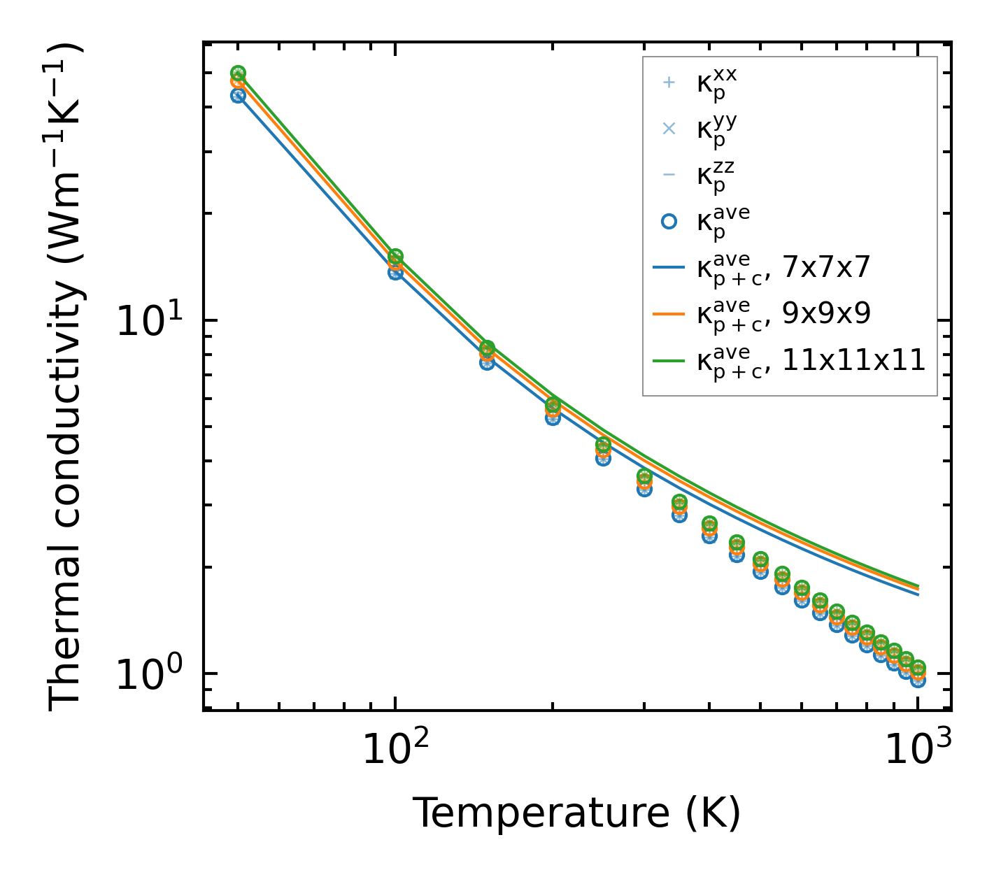
Thermal conductivity

3-phonon (LASSO) — q-mesh: 11x11x11, supercell: 1x1x1

../../_images/fig_kappa2207.png

(a) Temperature-dependent lattice thermal conductivity

../../_images/fig_kappa_vs_grain_size1160.png

(b) Peierls lattice thermal conductivity w.r.t grain size

Phonon lifetime and scattering rates

../../_images/fig_lifetime1137.png

(a) Phonon lifetime due to phonon-phonon scattering

../../_images/fig_scat_rates1136.png

(b) Phonon scattering rates

Cumulative and spectral thermal conductivity

../../_images/fig_cumu_frequency1137.png

(a) Spectral and cumulative thermal conductivity w.r.t frequency

../../_images/fig_cumu_mfp1137.png

(b) Spectral and cumulative thermal conductivity w.r.t MFP

Force constants

../../_images/fig_fc21829.png

(a) Force constants w.r.t atomic distance

Summary

../../_images/fig_kappa2208.png

(a) Temperature-dependent lattice thermal conductivity

../../_images/fig_times3078.png

(b) Computation time