mp-777814-2/Na6Sn2O7/anharm

Equation of state

../../_images/fig_bm921.png

(a) Equation of state

Harmonic properties

../../_images/fig_bandos_pr2145.png

(a) Phonon dispersion with participation ratio and DOS

../../_images/fig_thermo2145.png

(b) Thermodynamic properties

Grüneisen parameters

../../_images/fig_gru_all1224.png

(a) Grüneisen parameters

../../_images/fig_gruneisen1224.png

(b) Phonon dispersion with Grüneisen parameters

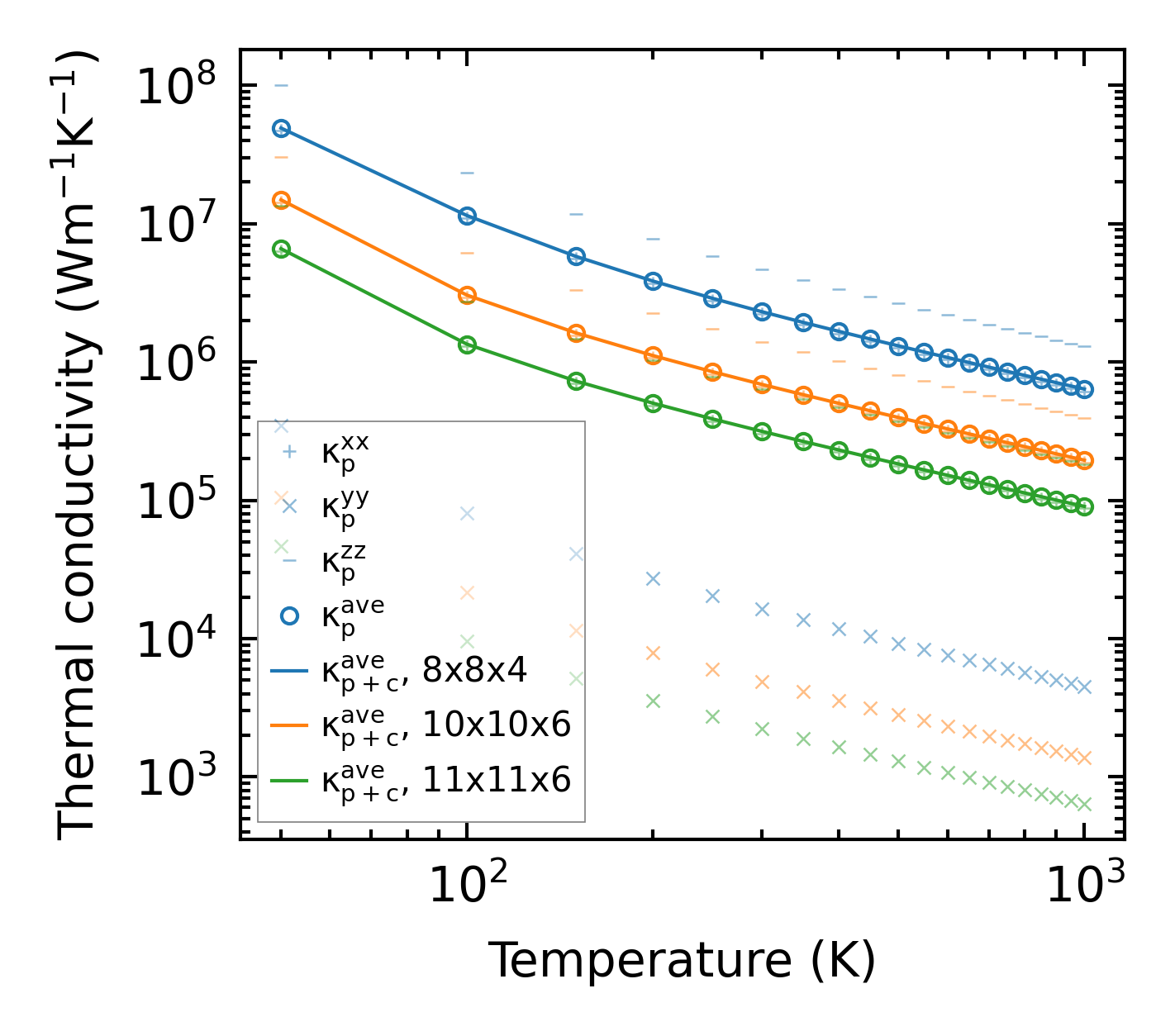
Thermal conductivity

3-phonon (LASSO) — q-mesh: 11x11x6, supercell: 1x2x1

../../_images/fig_kappa2357.png

(a) Temperature-dependent lattice thermal conductivity

../../_images/fig_kappa_vs_grain_size1238.png

(b) Peierls lattice thermal conductivity w.r.t grain size

Phonon lifetime and scattering rates

../../_images/fig_lifetime1214.png

(a) Phonon lifetime due to phonon-phonon scattering

../../_images/fig_scat_rates1213.png

(b) Phonon scattering rates

Cumulative and spectral thermal conductivity

../../_images/fig_cumu_frequency1214.png

(a) Spectral and cumulative thermal conductivity w.r.t frequency

../../_images/fig_cumu_mfp1214.png

(b) Spectral and cumulative thermal conductivity w.r.t MFP

Force constants

../../_images/fig_fc21966.png

(a) Force constants w.r.t atomic distance

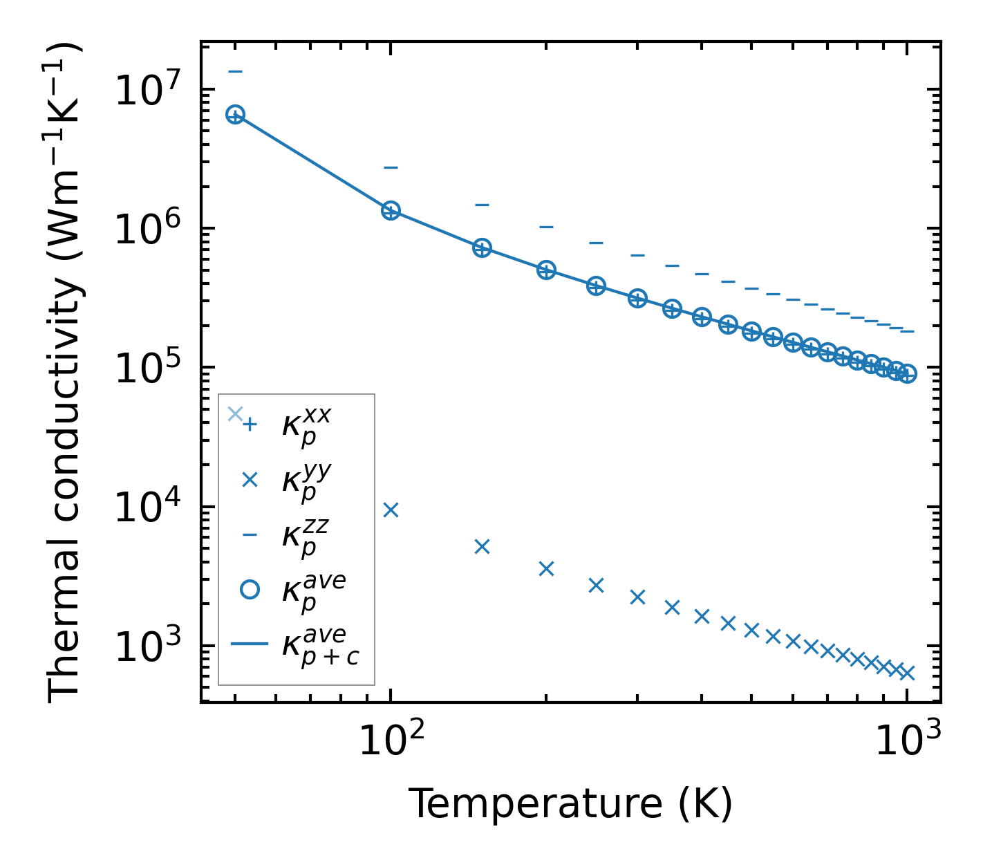
Summary

../../_images/fig_kappa2358.png

(a) Temperature-dependent lattice thermal conductivity

../../_images/fig_times3288.png

(b) Computation time