mp-777297/K5HC2N4/anharm

Harmonic properties

../../_images/fig_bandos_pr2129.png

(a) Phonon dispersion with participation ratio and DOS

../../_images/fig_thermo2129.png

(b) Thermodynamic properties

Grüneisen parameters

../../_images/fig_gru_all1221.png

(a) Grüneisen parameters

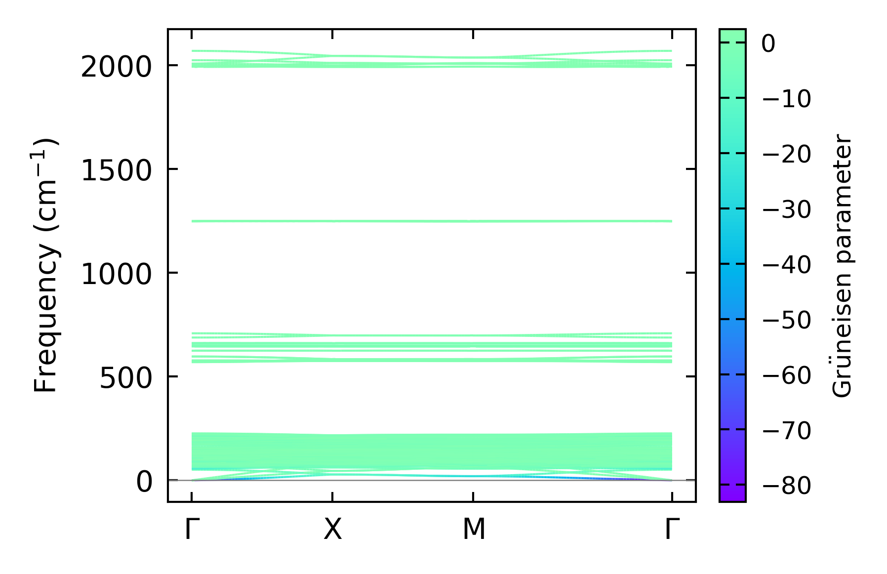
../../_images/fig_gruneisen1221.png

(b) Phonon dispersion with Grüneisen parameters

Thermal conductivity

3-phonon (LASSO) — q-mesh: 8x8x6, supercell: 1x1x1

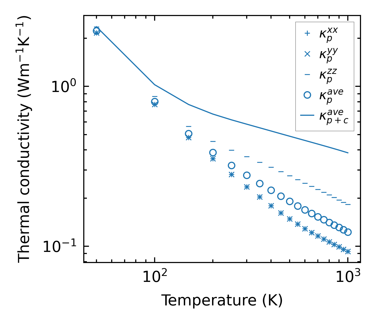
../../_images/fig_kappa2353.png

(a) Temperature-dependent lattice thermal conductivity

../../_images/fig_kappa_vs_grain_size1235.png

(b) Peierls lattice thermal conductivity w.r.t grain size

Phonon lifetime and scattering rates

../../_images/fig_lifetime1211.png

(a) Phonon lifetime due to phonon-phonon scattering

../../_images/fig_scat_rates1210.png

(b) Phonon scattering rates

Cumulative and spectral thermal conductivity

../../_images/fig_cumu_frequency1211.png

(a) Spectral and cumulative thermal conductivity w.r.t frequency

../../_images/fig_cumu_mfp1211.png

(b) Spectral and cumulative thermal conductivity w.r.t MFP

Force constants

../../_images/fig_fc21950.png

(a) Force constants w.r.t atomic distance

Summary

../../_images/fig_kappa2354.png

(a) Temperature-dependent lattice thermal conductivity

../../_images/fig_times3258.png

(b) Computation time