mp-774745/Li3CuS3/anharm

Harmonic properties

../../_images/fig_bandos_pr2423.png

(a) Phonon dispersion with participation ratio and DOS

../../_images/fig_thermo2423.png

(b) Thermodynamic properties

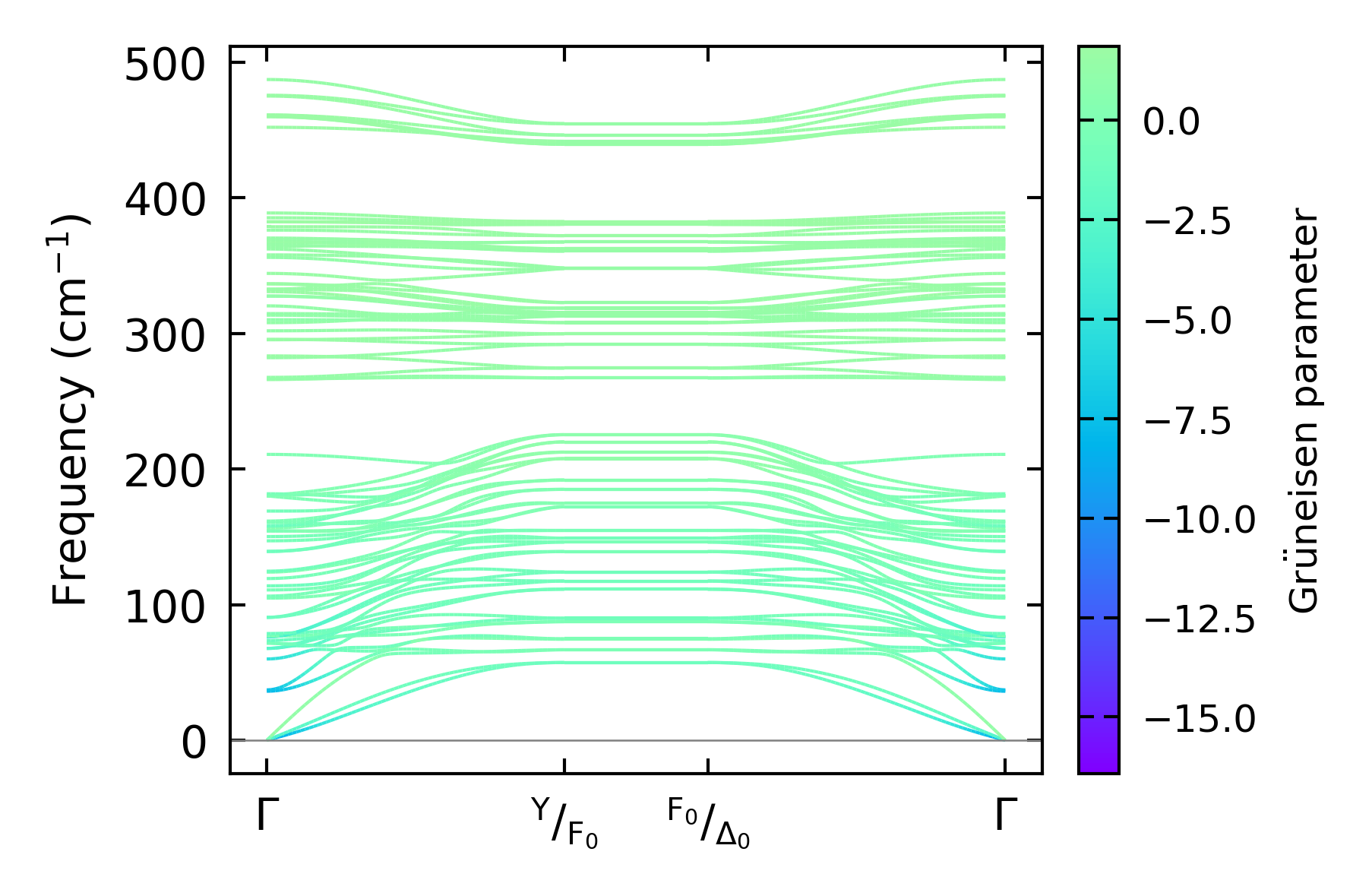
Grüneisen parameters

../../_images/fig_gru_all1277.png

(a) Grüneisen parameters

../../_images/fig_gruneisen1277.png

(b) Phonon dispersion with Grüneisen parameters

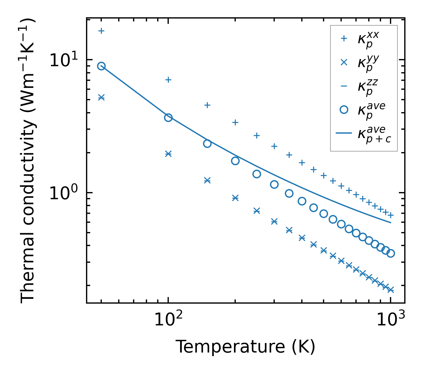
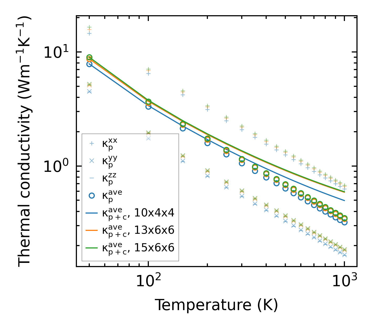
Thermal conductivity

3-phonon (LASSO) — q-mesh: 15x6x6, supercell: 2x1x1

../../_images/fig_kappa2455.png

(a) Temperature-dependent lattice thermal conductivity

../../_images/fig_kappa_vs_grain_size1293.png

(b) Peierls lattice thermal conductivity w.r.t grain size

Phonon lifetime and scattering rates

../../_images/fig_lifetime1267.png

(a) Phonon lifetime due to phonon-phonon scattering

../../_images/fig_scat_rates1266.png

(b) Phonon scattering rates

Cumulative and spectral thermal conductivity

../../_images/fig_cumu_frequency1267.png

(a) Spectral and cumulative thermal conductivity w.r.t frequency

../../_images/fig_cumu_mfp1267.png

(b) Spectral and cumulative thermal conductivity w.r.t MFP

Force constants

../../_images/fig_fc22244.png

(a) Force constants w.r.t atomic distance

Summary

../../_images/fig_kappa2456.png

(a) Temperature-dependent lattice thermal conductivity

../../_images/fig_times3979.png

(b) Computation time