mp-774523/Li3Sb2P3O12/harm

Harmonic properties

../../_images/fig_bandos_pr2411.png

(a) Phonon dispersion with participation ratio and DOS

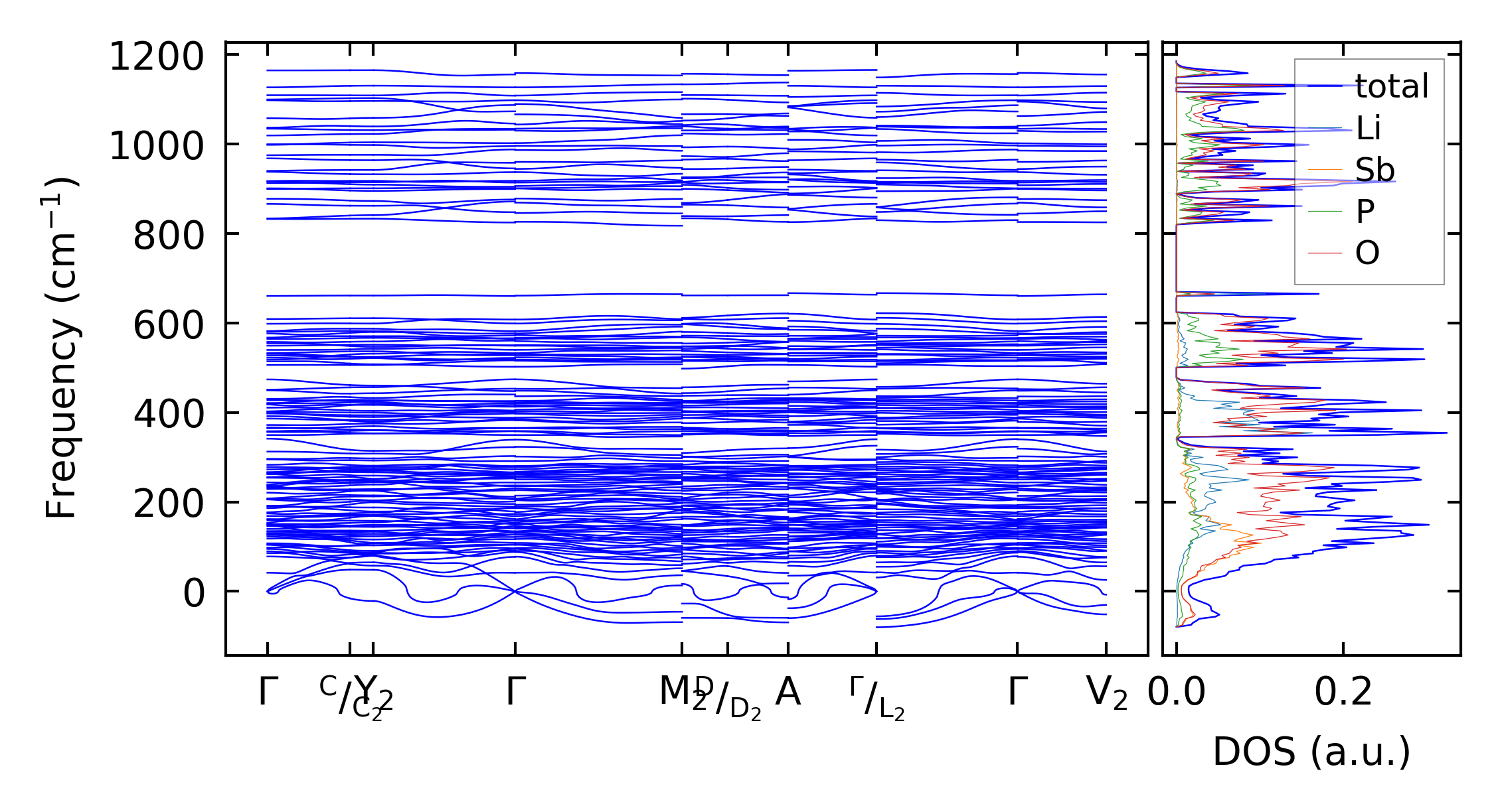
../../_images/fig_bandos2815.png

(b) Phonon dispersion and DOS

../../_images/fig_thermo2411.png

(c) Thermodynamic properties

Force constants

../../_images/fig_fc22232.png

(a) Force constants w.r.t atomic distance

Summary

../../_images/fig_times3952.png

(a) Computation time