mp-766486/LiCuS2/anharm

Harmonic properties

../../_images/fig_bandos_pr2772.png

(a) Phonon dispersion with participation ratio and DOS

../../_images/fig_thermo2772.png

(b) Thermodynamic properties

Grüneisen parameters

../../_images/fig_gru_all1378.png

(a) Grüneisen parameters

../../_images/fig_gruneisen1378.png

(b) Phonon dispersion with Grüneisen parameters

Thermal conductivity

3-phonon (LASSO) — q-mesh: 12x11x21, supercell: 2x2x4

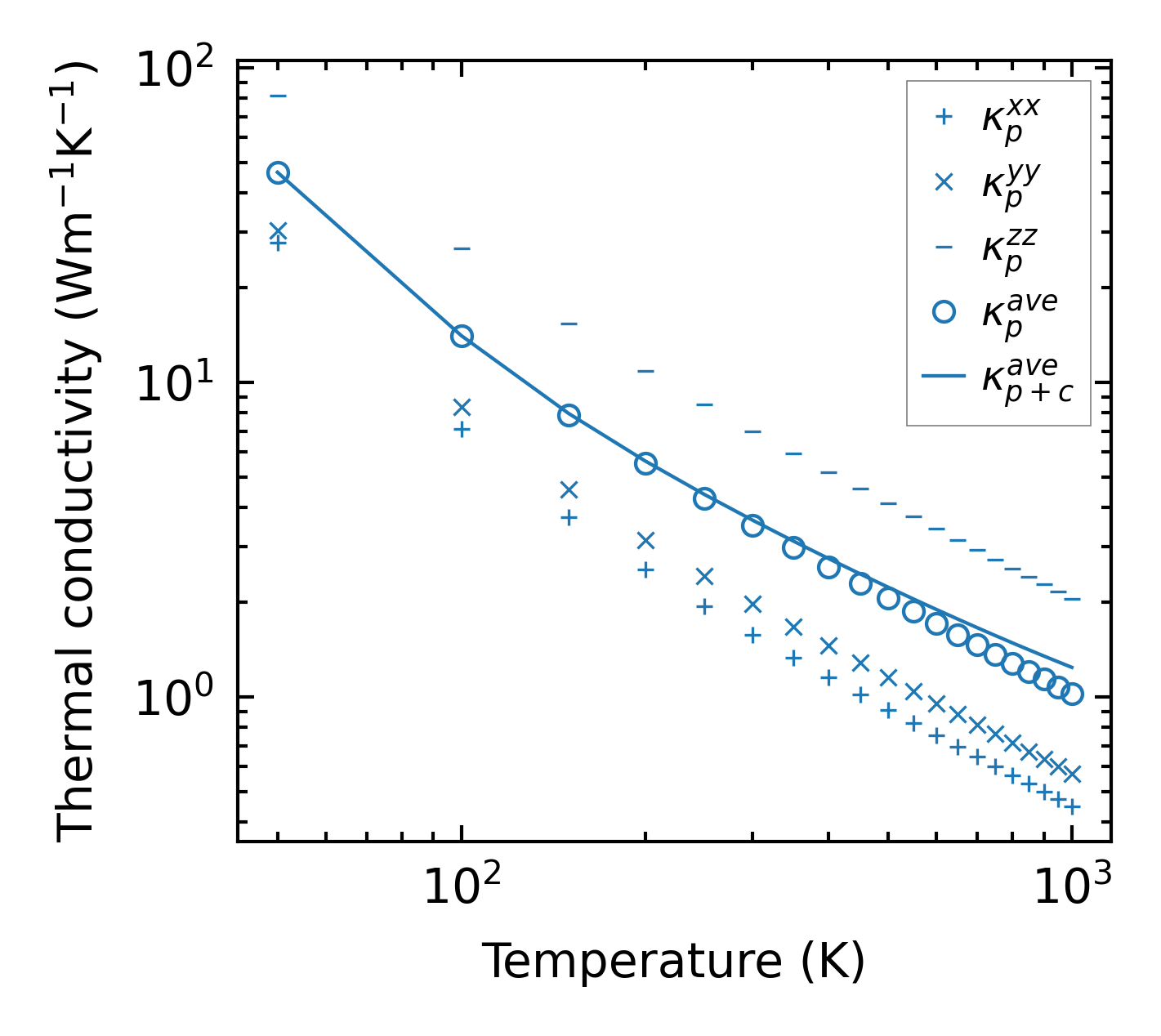
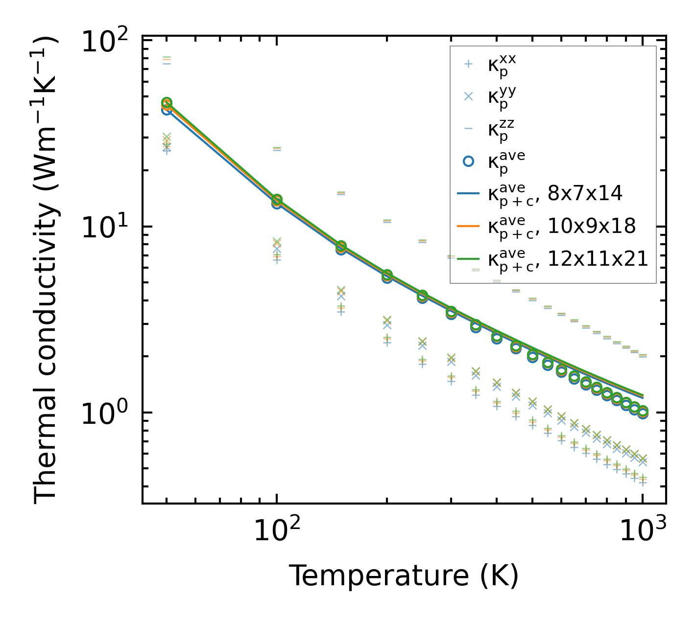
../../_images/fig_kappa2657.png

(a) Temperature-dependent lattice thermal conductivity

../../_images/fig_kappa_vs_grain_size1394.png

(b) Peierls lattice thermal conductivity w.r.t grain size

Phonon lifetime and scattering rates

../../_images/fig_lifetime1368.png

(a) Phonon lifetime due to phonon-phonon scattering

../../_images/fig_scat_rates1367.png

(b) Phonon scattering rates

Cumulative and spectral thermal conductivity

../../_images/fig_cumu_frequency1368.png

(a) Spectral and cumulative thermal conductivity w.r.t frequency

../../_images/fig_cumu_mfp1368.png

(b) Spectral and cumulative thermal conductivity w.r.t MFP

Force constants

../../_images/fig_fc22593.png

(a) Force constants w.r.t atomic distance

Summary

../../_images/fig_kappa2658.png

(a) Temperature-dependent lattice thermal conductivity

../../_images/fig_times4653.png

(b) Computation time