mp-766025/V2Bi4O11/harm

Harmonic properties

../../_images/fig_bandos_pr2733.png

(a) Phonon dispersion with participation ratio and DOS

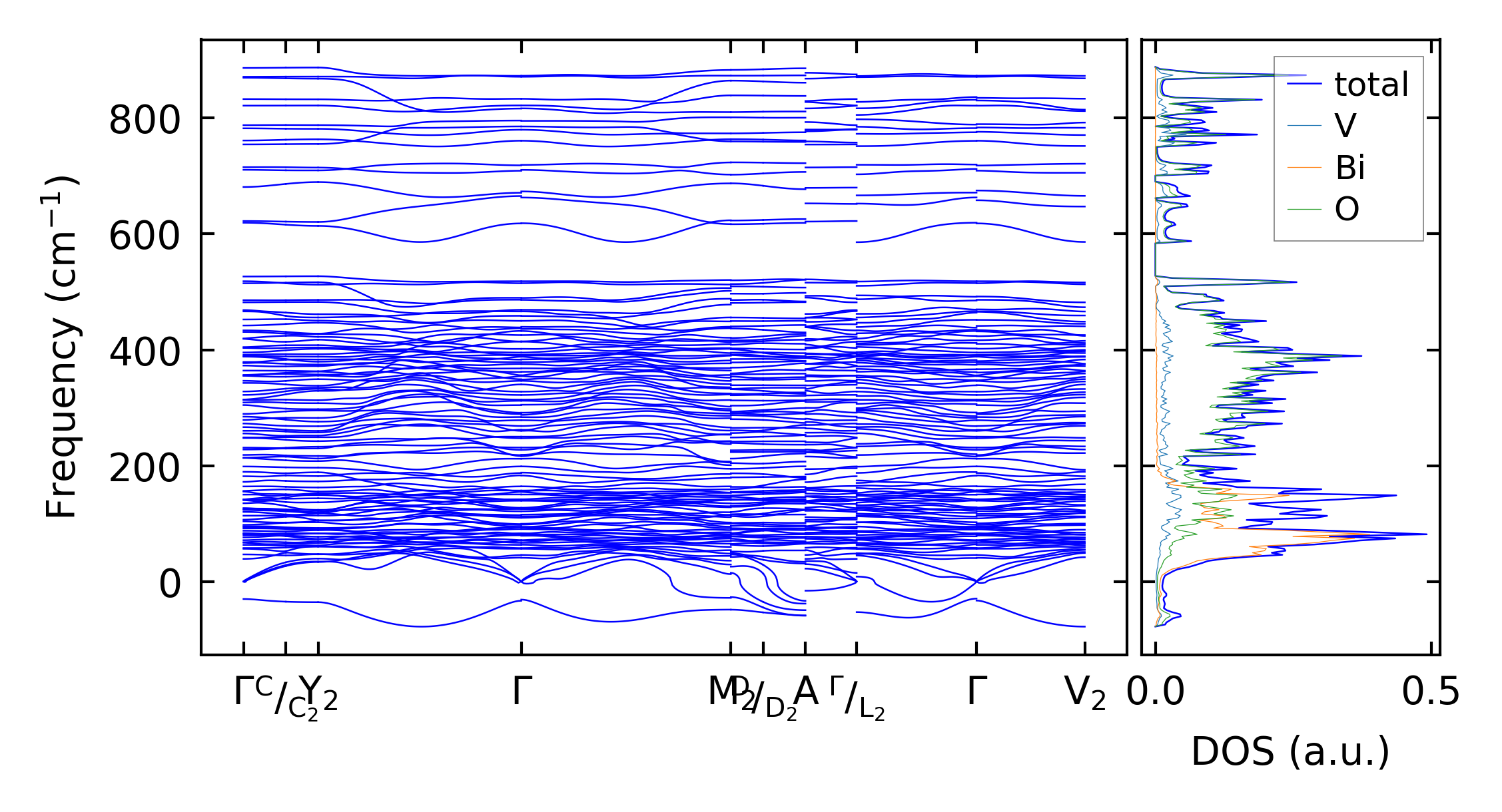
../../_images/fig_bandos3348.png

(b) Phonon dispersion and DOS

../../_images/fig_thermo2733.png

(c) Thermodynamic properties

Force constants

../../_images/fig_fc22554.png

(a) Force constants w.r.t atomic distance

Summary

../../_images/fig_times4579.png

(a) Computation time