mp-761872-2/Na2Sn2O3/harm

Equation of state

../../_images/fig_bm1271.png

(a) Equation of state

Harmonic properties

../../_images/fig_bandos_pr2961.png

(a) Phonon dispersion with participation ratio and DOS

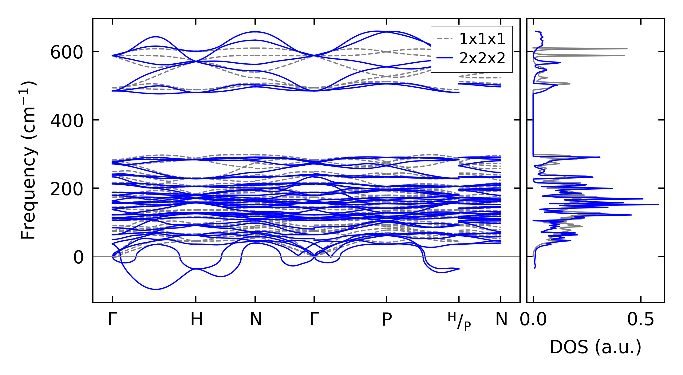
../../_images/fig_bandos3722.png

(b) Phonon dispersion and DOS

../../_images/fig_thermo2961.png

(c) Thermodynamic properties

Force constants

../../_images/fig_fc22781.png

(a) Force constants w.r.t atomic distance

Summary

../../_images/fig_times5013.png

(a) Computation time