mp-761026/Na5VO5/anharm

Harmonic properties

../../_images/fig_bandos_pr2935.png

(a) Phonon dispersion with participation ratio and DOS

../../_images/fig_bandos3682.png

(b) Phonon dispersion and DOS

../../_images/fig_thermo2935.png

(c) Thermodynamic properties

Grüneisen parameters

../../_images/fig_gru_all1432.png

(a) Grüneisen parameters

../../_images/fig_gruneisen1432.png

(b) Phonon dispersion with Grüneisen parameters

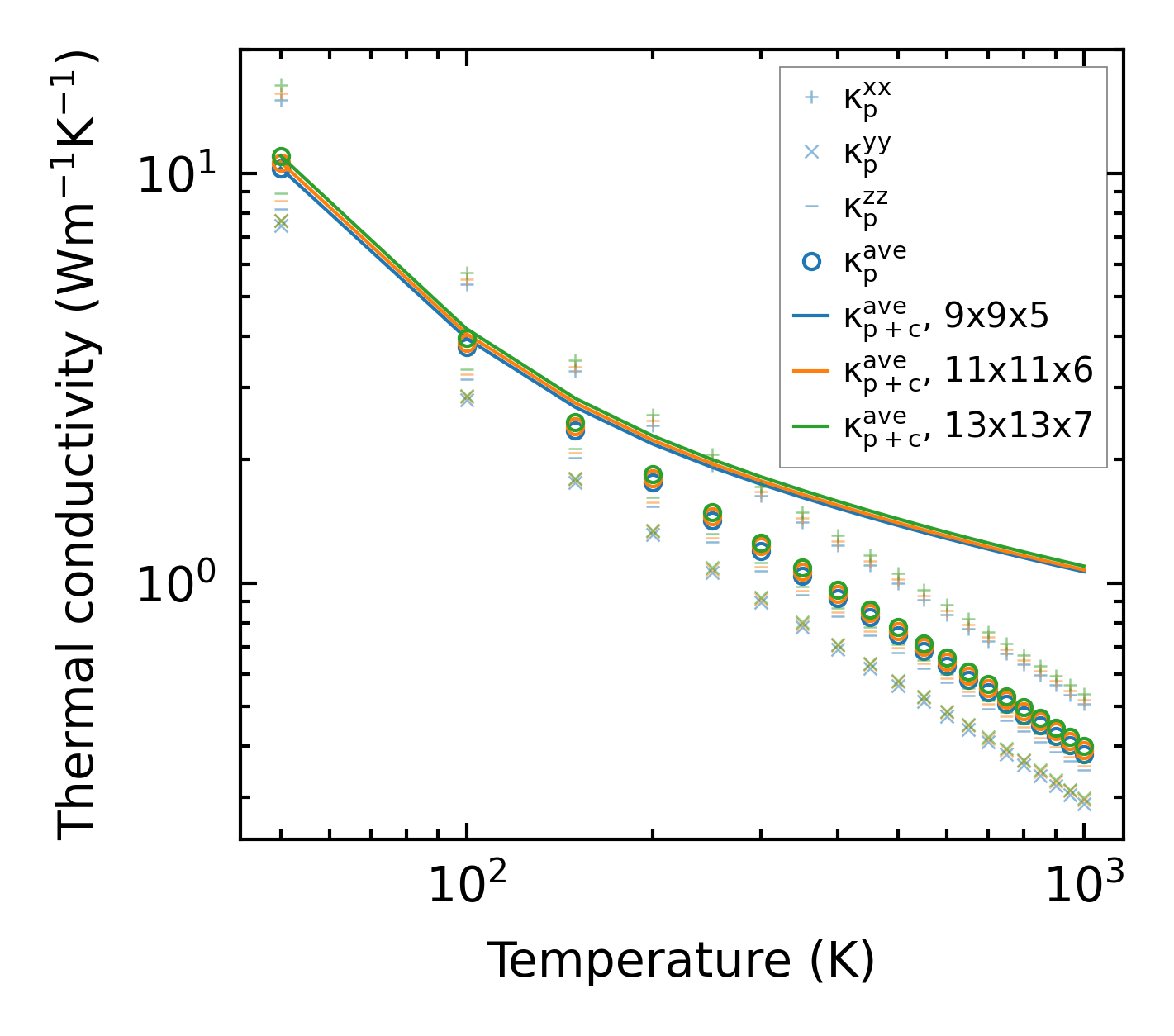
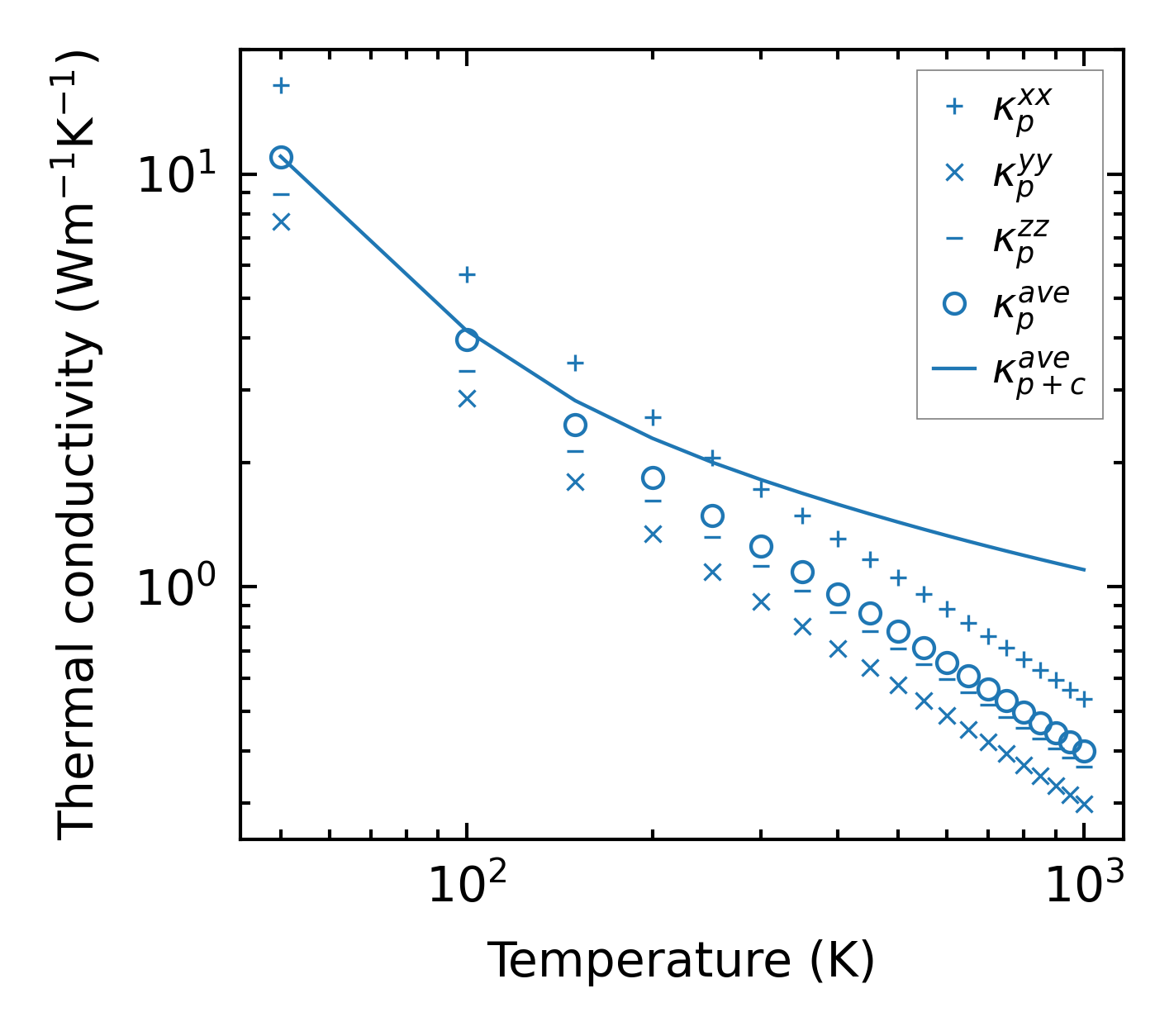
Thermal conductivity

3-phonon (LASSO) — q-mesh: 13x13x7, supercell: 2x1x1

../../_images/fig_kappa2764.png

(a) Temperature-dependent lattice thermal conductivity

../../_images/fig_kappa_vs_grain_size1448.png

(b) Peierls lattice thermal conductivity w.r.t grain size

Phonon lifetime and scattering rates

../../_images/fig_lifetime1422.png

(a) Phonon lifetime due to phonon-phonon scattering

../../_images/fig_scat_rates1421.png

(b) Phonon scattering rates

Cumulative and spectral thermal conductivity

../../_images/fig_cumu_frequency1422.png

(a) Spectral and cumulative thermal conductivity w.r.t frequency

../../_images/fig_cumu_mfp1422.png

(b) Spectral and cumulative thermal conductivity w.r.t MFP

Force constants

../../_images/fig_fc22755.png

(a) Force constants w.r.t atomic distance

Summary

../../_images/fig_kappa2765.png

(a) Temperature-dependent lattice thermal conductivity

../../_images/fig_times4970.png

(b) Computation time