mp-758587/Li2CuPO4/anharm

Harmonic properties

../../_images/fig_bandos_pr2998.png

(a) Phonon dispersion with participation ratio and DOS

../../_images/fig_thermo2998.png

(b) Thermodynamic properties

Grüneisen parameters

../../_images/fig_gru_all1445.png

(a) Grüneisen parameters

../../_images/fig_gruneisen1445.png

(b) Phonon dispersion with Grüneisen parameters

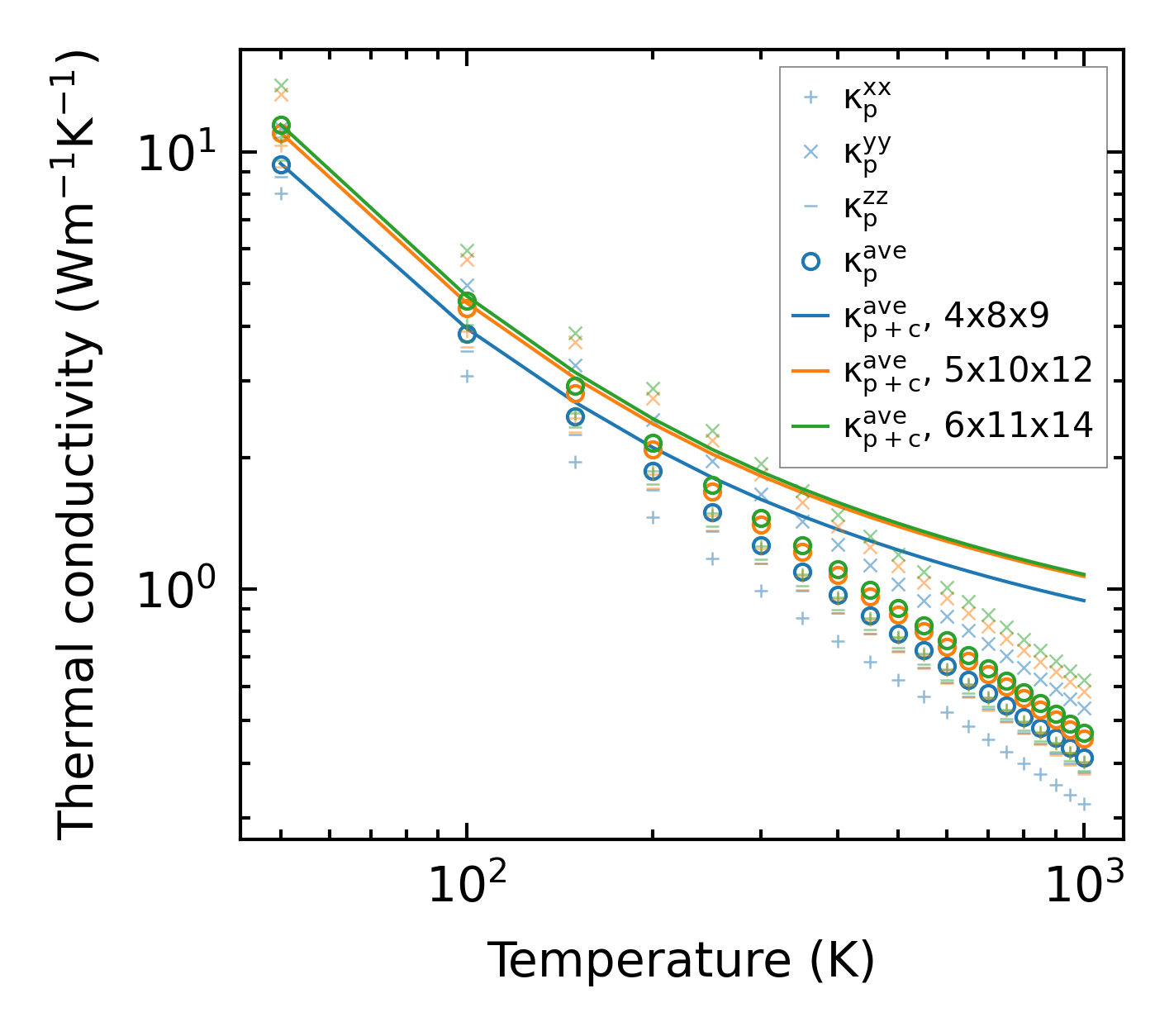
Thermal conductivity

3-phonon (LASSO) — q-mesh: 6x11x14, supercell: 1x2x2

../../_images/fig_kappa2788.png

(a) Temperature-dependent lattice thermal conductivity

../../_images/fig_kappa_vs_grain_size1461.png

(b) Peierls lattice thermal conductivity w.r.t grain size

Phonon lifetime and scattering rates

../../_images/fig_lifetime1435.png

(a) Phonon lifetime due to phonon-phonon scattering

../../_images/fig_scat_rates1434.png

(b) Phonon scattering rates

Cumulative and spectral thermal conductivity

../../_images/fig_cumu_frequency1435.png

(a) Spectral and cumulative thermal conductivity w.r.t frequency

../../_images/fig_cumu_mfp1435.png

(b) Spectral and cumulative thermal conductivity w.r.t MFP

Force constants

../../_images/fig_fc22818.png

(a) Force constants w.r.t atomic distance

Summary

../../_images/fig_kappa2789.png

(a) Temperature-dependent lattice thermal conductivity

../../_images/fig_times5116.png

(b) Computation time