mp-758571/Al11TlO17/anharm

Equation of state

../../_images/fig_bm1288.png

(a) Equation of state

Harmonic properties

../../_images/fig_bandos_pr2997.png

(a) Phonon dispersion with participation ratio and DOS

../../_images/fig_bandos3814.png

(b) Phonon dispersion and DOS

../../_images/fig_thermo2997.png

(c) Thermodynamic properties

Grüneisen parameters

../../_images/fig_gru_all1444.png

(a) Grüneisen parameters

../../_images/fig_gruneisen1444.png

(b) Phonon dispersion with Grüneisen parameters

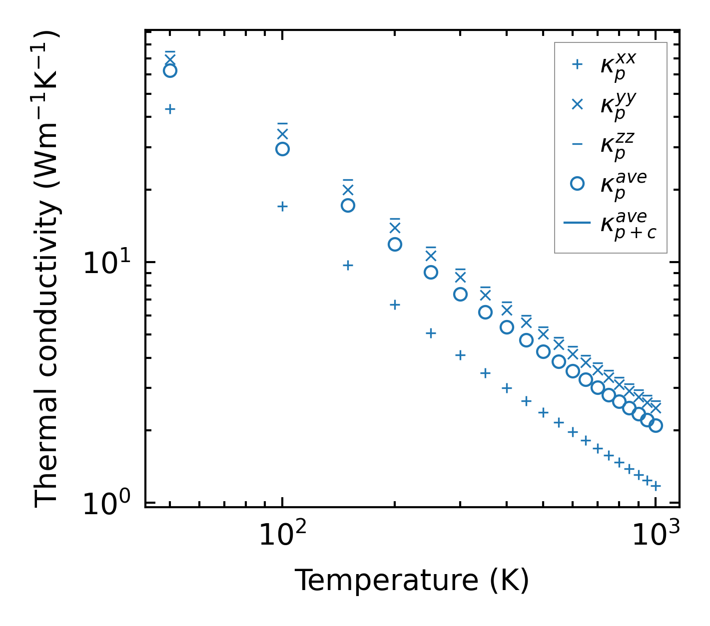
Thermal conductivity

3-phonon (LASSO), supercell 1x1x2 — q-mesh: 3x13x13, supercell: 1x1x2

../../_images/fig_kappa2787.png

(a) Temperature-dependent lattice thermal conductivity

../../_images/fig_kappa_vs_grain_size1460.png

(b) Peierls lattice thermal conductivity w.r.t grain size

Phonon lifetime and scattering rates

../../_images/fig_lifetime1434.png

(a) Phonon lifetime due to phonon-phonon scattering

../../_images/fig_scat_rates1433.png

(b) Phonon scattering rates

Cumulative and spectral thermal conductivity

../../_images/fig_cumu_frequency1434.png

(a) Spectral and cumulative thermal conductivity w.r.t frequency

../../_images/fig_cumu_mfp1434.png

(b) Spectral and cumulative thermal conductivity w.r.t MFP

Force constants

../../_images/fig_fc22817.png

(a) Force constants w.r.t atomic distance

Summary

../../_images/fig_times5113.png

(a) Computation time