mp-730101/H2/anharm

Equation of state

../../_images/fig_bm1982.png

(a) Equation of state

Harmonic properties

../../_images/fig_bandos_pr4039.png

(a) Phonon dispersion with participation ratio and DOS

../../_images/fig_bandos5389.png

(b) Phonon dispersion and DOS

../../_images/fig_thermo4039.png

(c) Thermodynamic properties

Grüneisen parameters

../../_images/fig_gru_all1811.png

(a) Grüneisen parameters

../../_images/fig_gruneisen1811.png

(b) Phonon dispersion with Grüneisen parameters

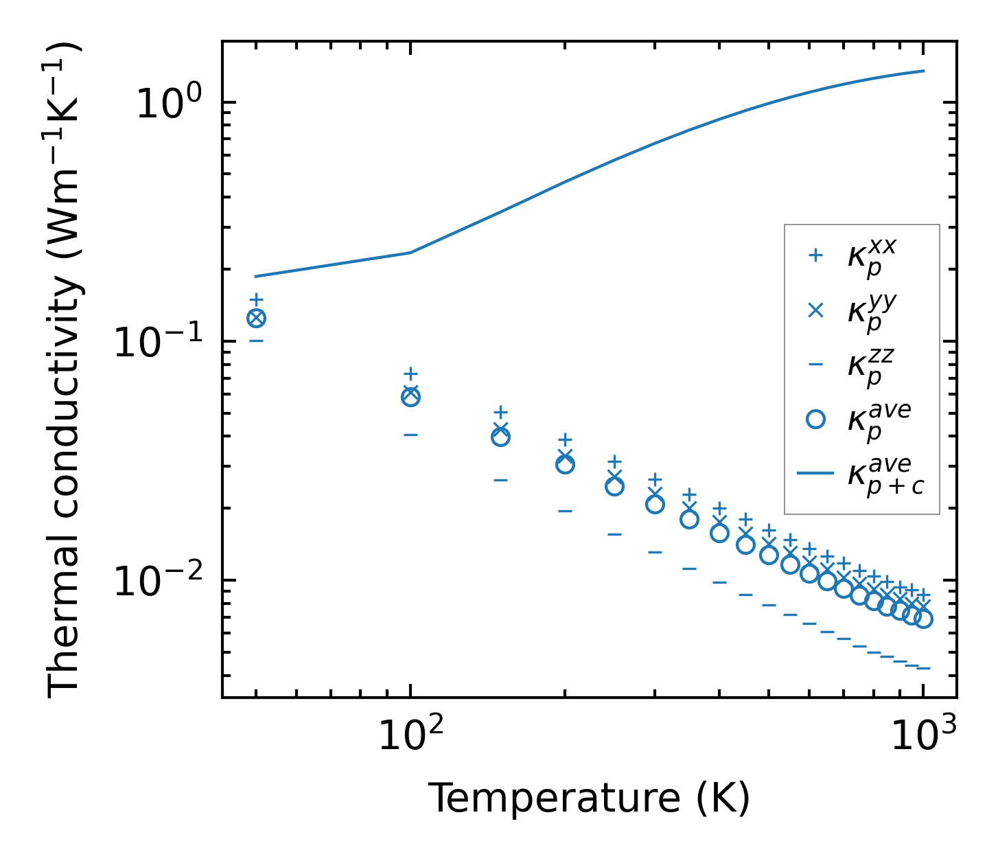
Thermal conductivity

3-phonon (LASSO), supercell 3x3x3 — q-mesh: 17x17x15, supercell: 3x3x3

../../_images/fig_kappa3478.png

(a) Temperature-dependent lattice thermal conductivity

../../_images/fig_kappa_vs_grain_size1839.png

(b) Peierls lattice thermal conductivity w.r.t grain size

Phonon lifetime and scattering rates

../../_images/fig_lifetime1801.png

(a) Phonon lifetime due to phonon-phonon scattering

../../_images/fig_scat_rates1800.png

(b) Phonon scattering rates

Cumulative and spectral thermal conductivity

../../_images/fig_cumu_frequency1801.png

(a) Spectral and cumulative thermal conductivity w.r.t frequency

../../_images/fig_cumu_mfp1801.png

(b) Spectral and cumulative thermal conductivity w.r.t MFP

Force constants

../../_images/fig_fc23852.png

(a) Force constants w.r.t atomic distance

Summary

../../_images/fig_times7000.png

(a) Computation time