mp-730074-2/Rb2CaH8N12O4/anharm

Equation of state

../../_images/fig_bm1981.png

(a) Equation of state

Harmonic properties

../../_images/fig_bandos_pr4038.png

(a) Phonon dispersion with participation ratio and DOS

../../_images/fig_bandos5388.png

(b) Phonon dispersion and DOS

../../_images/fig_thermo4038.png

(c) Thermodynamic properties

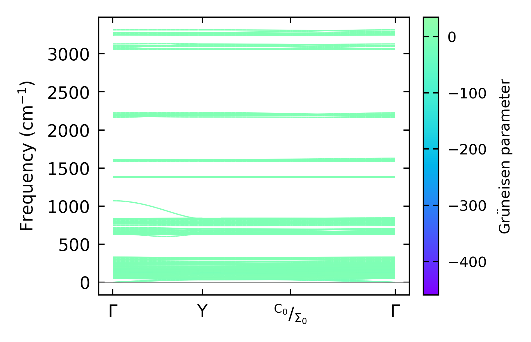
Grüneisen parameters

../../_images/fig_gru_all1810.png

(a) Grüneisen parameters

../../_images/fig_gruneisen1810.png

(b) Phonon dispersion with Grüneisen parameters

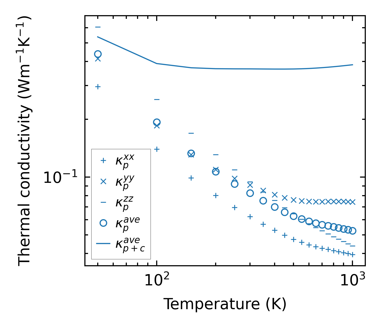
Thermal conductivity

3-phonon (LASSO), supercell 1x1x2 — q-mesh: 6x6x12, supercell: 1x1x2

../../_images/fig_kappa3477.png

(a) Temperature-dependent lattice thermal conductivity

../../_images/fig_kappa_vs_grain_size1838.png

(b) Peierls lattice thermal conductivity w.r.t grain size

Phonon lifetime and scattering rates

../../_images/fig_lifetime1800.png

(a) Phonon lifetime due to phonon-phonon scattering

../../_images/fig_scat_rates1799.png

(b) Phonon scattering rates

Cumulative and spectral thermal conductivity

../../_images/fig_cumu_frequency1800.png

(a) Spectral and cumulative thermal conductivity w.r.t frequency

../../_images/fig_cumu_mfp1800.png

(b) Spectral and cumulative thermal conductivity w.r.t MFP

Force constants

../../_images/fig_fc23851.png

(a) Force constants w.r.t atomic distance

Summary

../../_images/fig_times6999.png

(a) Computation time