mp-728664-2/NaSeO3/harm

Harmonic properties

../../_images/fig_bandos_pr4226.png

(a) Phonon dispersion with participation ratio and DOS

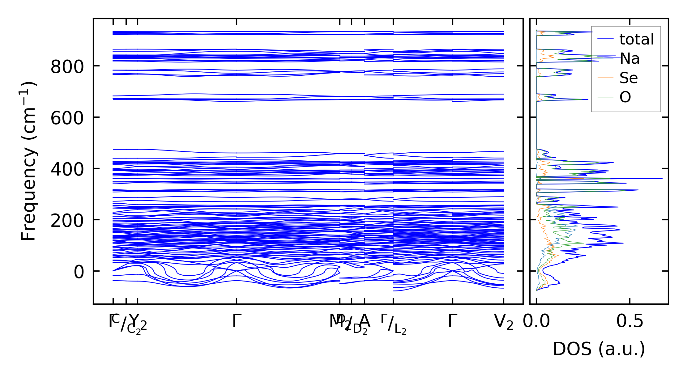
../../_images/fig_bandos5836.png

(b) Phonon dispersion and DOS

../../_images/fig_thermo4226.png

(c) Thermodynamic properties

Force constants

../../_images/fig_fc24039.png

(a) Force constants w.r.t atomic distance

Summary

../../_images/fig_times7467.png

(a) Computation time