mp-728030-2/K2Cr2AsHO10/harm

Harmonic properties

../../_images/fig_bandos_pr4217.png

(a) Phonon dispersion with participation ratio and DOS

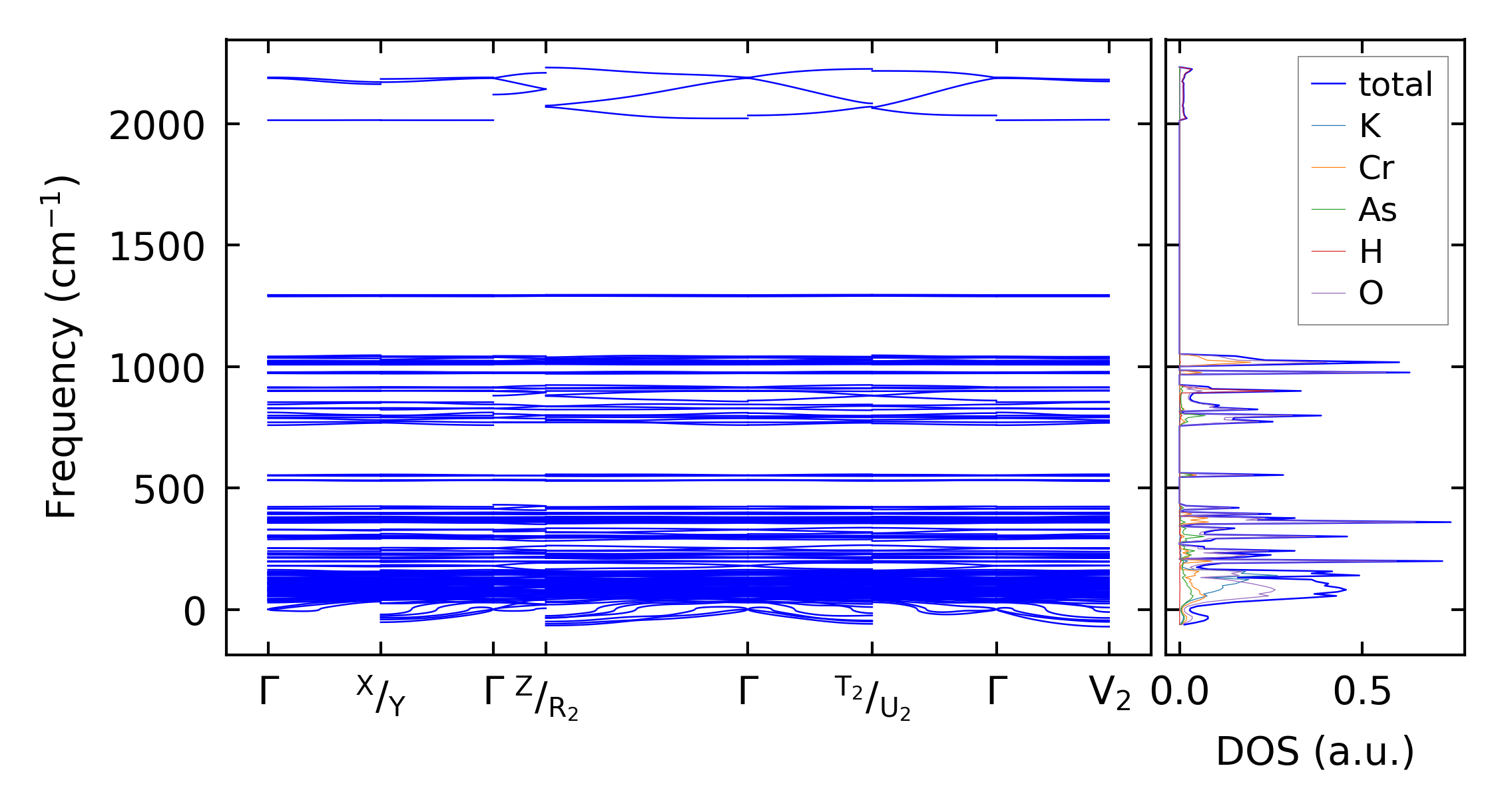
../../_images/fig_bandos5820.png

(b) Phonon dispersion and DOS

../../_images/fig_thermo4217.png

(c) Thermodynamic properties

Force constants

../../_images/fig_fc24030.png

(a) Force constants w.r.t atomic distance

Summary

../../_images/fig_times7451.png

(a) Computation time