mp-726865/KI/anharm

Harmonic properties

../../_images/fig_bandos_pr4208.png

(a) Phonon dispersion with participation ratio and DOS

../../_images/fig_bandos5794.png

(b) Phonon dispersion and DOS

../../_images/fig_thermo4208.png

(c) Thermodynamic properties

Grüneisen parameters

../../_images/fig_gru_all1836.png

(a) Grüneisen parameters

../../_images/fig_gruneisen1836.png

(b) Phonon dispersion with Grüneisen parameters

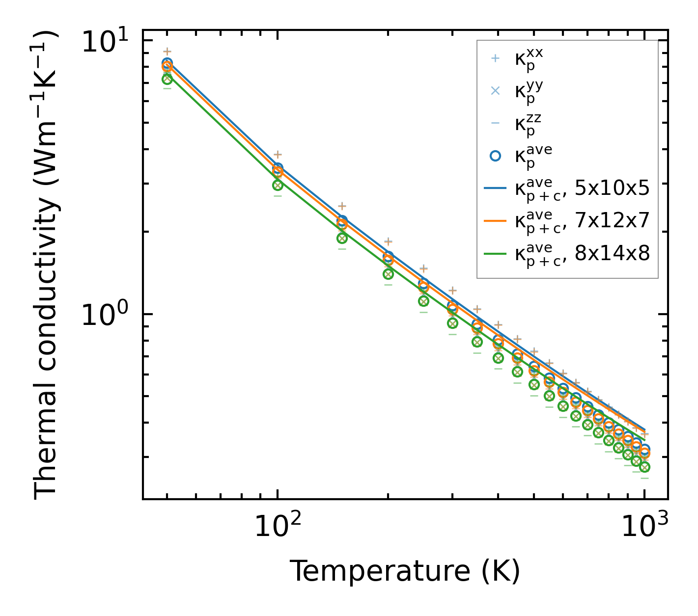
Thermal conductivity

3-phonon (LASSO) — q-mesh: 8x14x8, supercell: 2x4x2

../../_images/fig_kappa3521.png

(a) Temperature-dependent lattice thermal conductivity

../../_images/fig_kappa_vs_grain_size1864.png

(b) Peierls lattice thermal conductivity w.r.t grain size

Phonon lifetime and scattering rates

../../_images/fig_lifetime1826.png

(a) Phonon lifetime due to phonon-phonon scattering

../../_images/fig_scat_rates1825.png

(b) Phonon scattering rates

Cumulative and spectral thermal conductivity

../../_images/fig_cumu_frequency1826.png

(a) Spectral and cumulative thermal conductivity w.r.t frequency

../../_images/fig_cumu_mfp1826.png

(b) Spectral and cumulative thermal conductivity w.r.t MFP

Force constants

../../_images/fig_fc24021.png

(a) Force constants w.r.t atomic distance

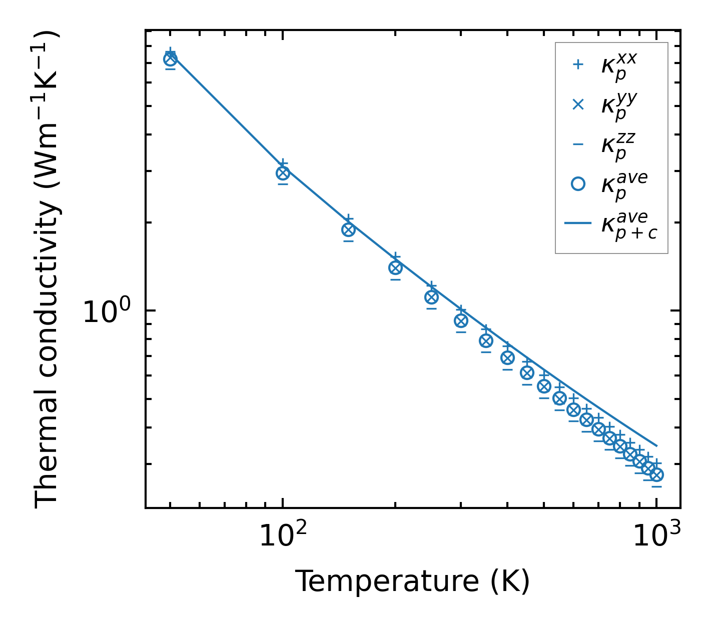
Summary

../../_images/fig_kappa3522.png

(a) Temperature-dependent lattice thermal conductivity

../../_images/fig_times7424.png

(b) Computation time