mp-726394/SrCl2O2/harm

Equation of state

../../_images/fig_bm2103.png

(a) Equation of state

Harmonic properties

../../_images/fig_bandos_pr4205.png

(a) Phonon dispersion with participation ratio and DOS

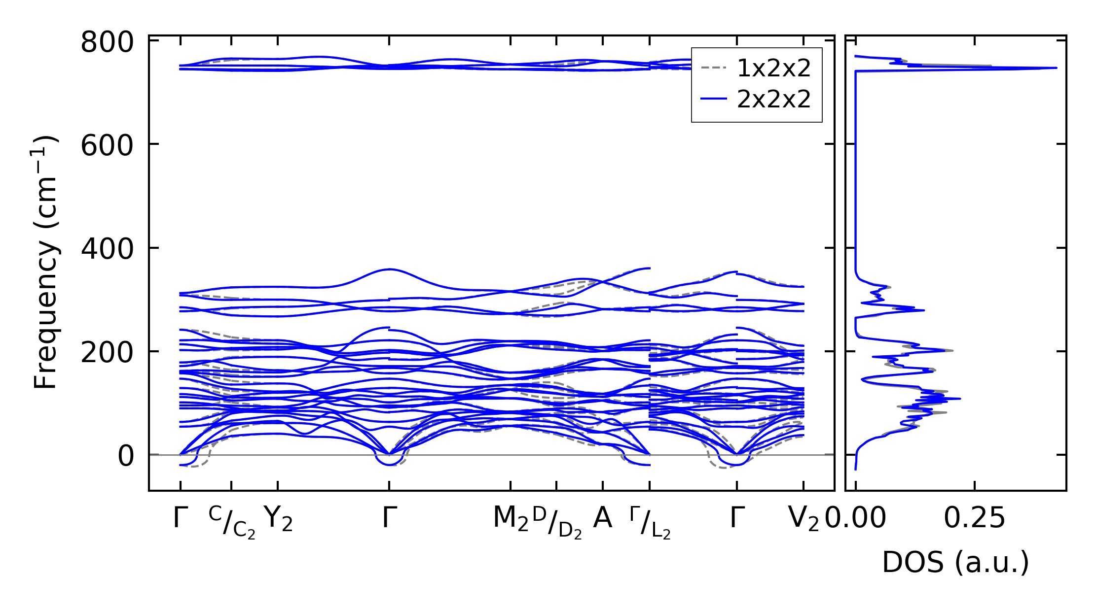
../../_images/fig_bandos5778.png

(b) Phonon dispersion and DOS

../../_images/fig_thermo4205.png

(c) Thermodynamic properties

Force constants

../../_images/fig_fc24018.png

(a) Force constants w.r.t atomic distance

Summary

../../_images/fig_times7407.png

(a) Computation time