mp-721702-2/Zn2AsHO5/anharm

Equation of state

../../_images/fig_bm2060.png

(a) Equation of state

Harmonic properties

../../_images/fig_bandos_pr4149.png

(a) Phonon dispersion with participation ratio and DOS

../../_images/fig_bandos5640.png

(b) Phonon dispersion and DOS

../../_images/fig_thermo4149.png

(c) Thermodynamic properties

Grüneisen parameters

../../_images/fig_gru_all1826.png

(a) Grüneisen parameters

../../_images/fig_gruneisen1826.png

(b) Phonon dispersion with Grüneisen parameters

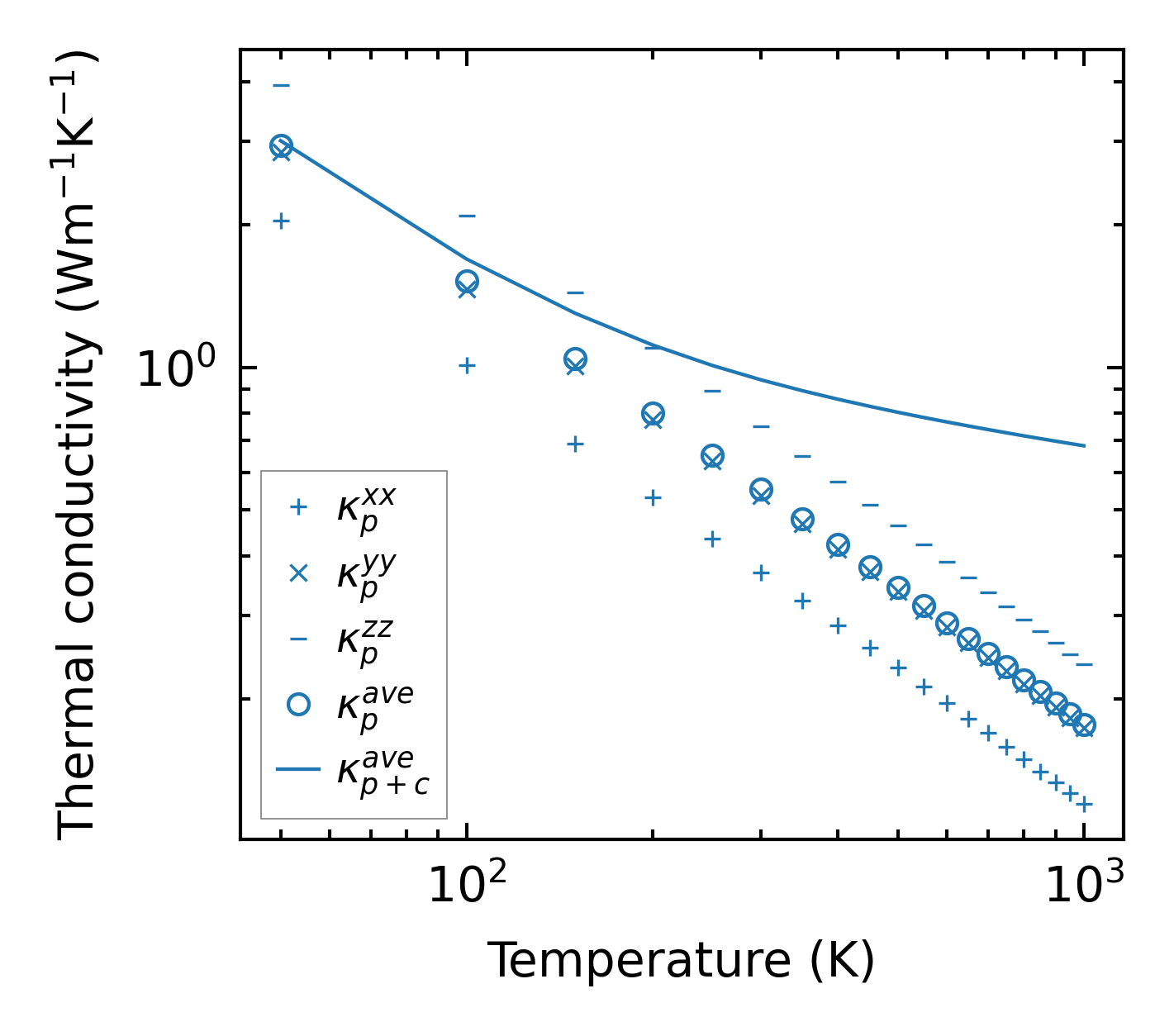
Thermal conductivity

3-phonon (LASSO), supercell 2x2x2 — q-mesh: 8x8x11, supercell: 2x2x2

../../_images/fig_kappa3503.png

(a) Temperature-dependent lattice thermal conductivity

../../_images/fig_kappa_vs_grain_size1854.png

(b) Peierls lattice thermal conductivity w.r.t grain size

Phonon lifetime and scattering rates

../../_images/fig_lifetime1816.png

(a) Phonon lifetime due to phonon-phonon scattering

../../_images/fig_scat_rates1815.png

(b) Phonon scattering rates

Cumulative and spectral thermal conductivity

../../_images/fig_cumu_frequency1816.png

(a) Spectral and cumulative thermal conductivity w.r.t frequency

../../_images/fig_cumu_mfp1816.png

(b) Spectral and cumulative thermal conductivity w.r.t MFP

Force constants

../../_images/fig_fc23962.png

(a) Force constants w.r.t atomic distance

Summary

../../_images/fig_times7260.png

(a) Computation time