mp-721562/K2P3H5O11/harm

Harmonic properties

../../_images/fig_bandos_pr4142.png

(a) Phonon dispersion with participation ratio and DOS

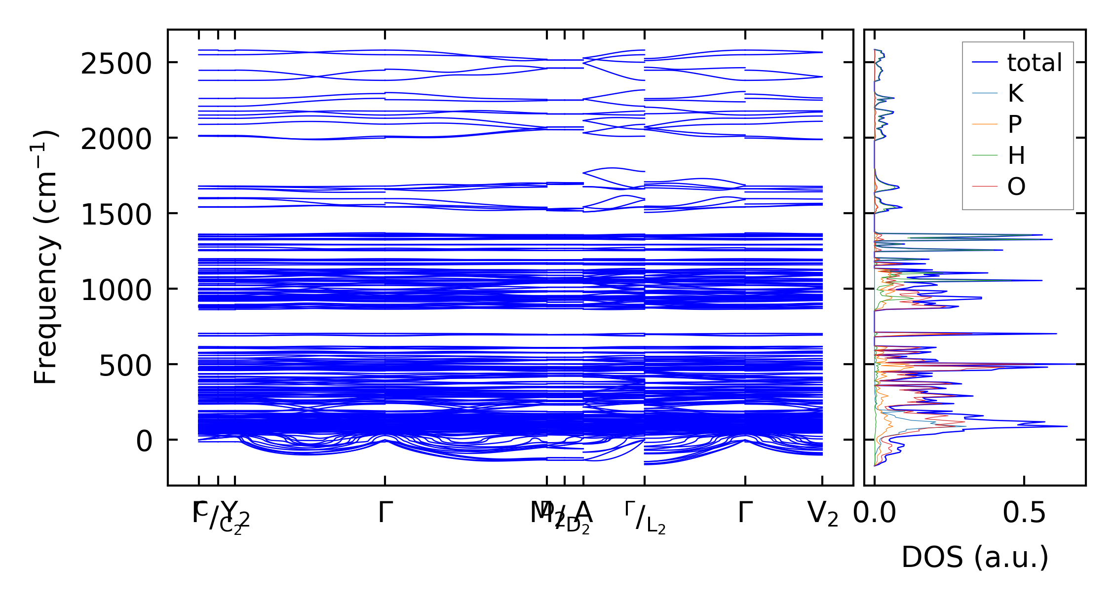
../../_images/fig_bandos5625.png

(b) Phonon dispersion and DOS

../../_images/fig_thermo4142.png

(c) Thermodynamic properties

Force constants

../../_images/fig_fc23955.png

(a) Force constants w.r.t atomic distance

Summary

../../_images/fig_times7245.png

(a) Computation time