mp-699136/NaAlH2CO5/anharm

Harmonic properties

../../_images/fig_bandos_pr4747.png

(a) Phonon dispersion with participation ratio and DOS

../../_images/fig_thermo4747.png

(b) Thermodynamic properties

Grüneisen parameters

../../_images/fig_gru_all2047.png

(a) Grüneisen parameters

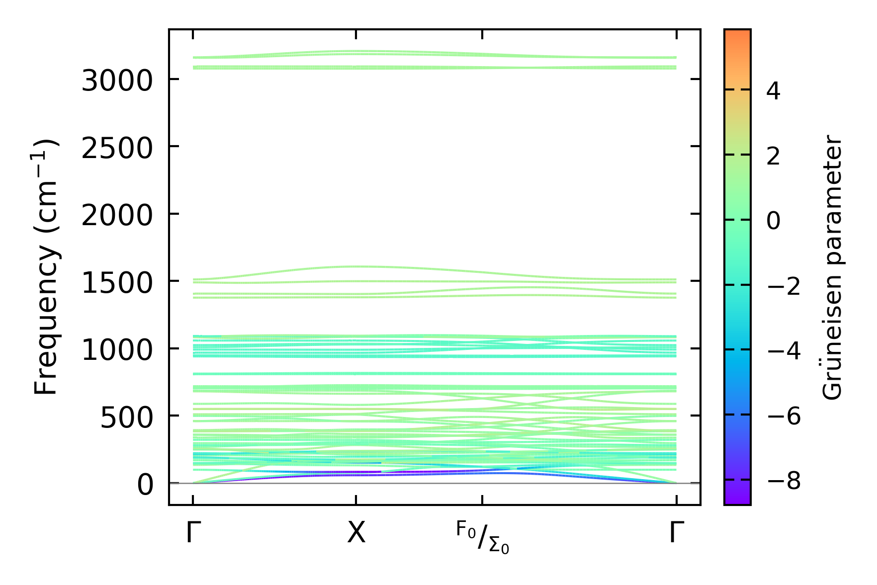
../../_images/fig_gruneisen2047.png

(b) Phonon dispersion with Grüneisen parameters

Thermal conductivity

3-phonon (LASSO) — q-mesh: 12x12x12, supercell: 2x1x1

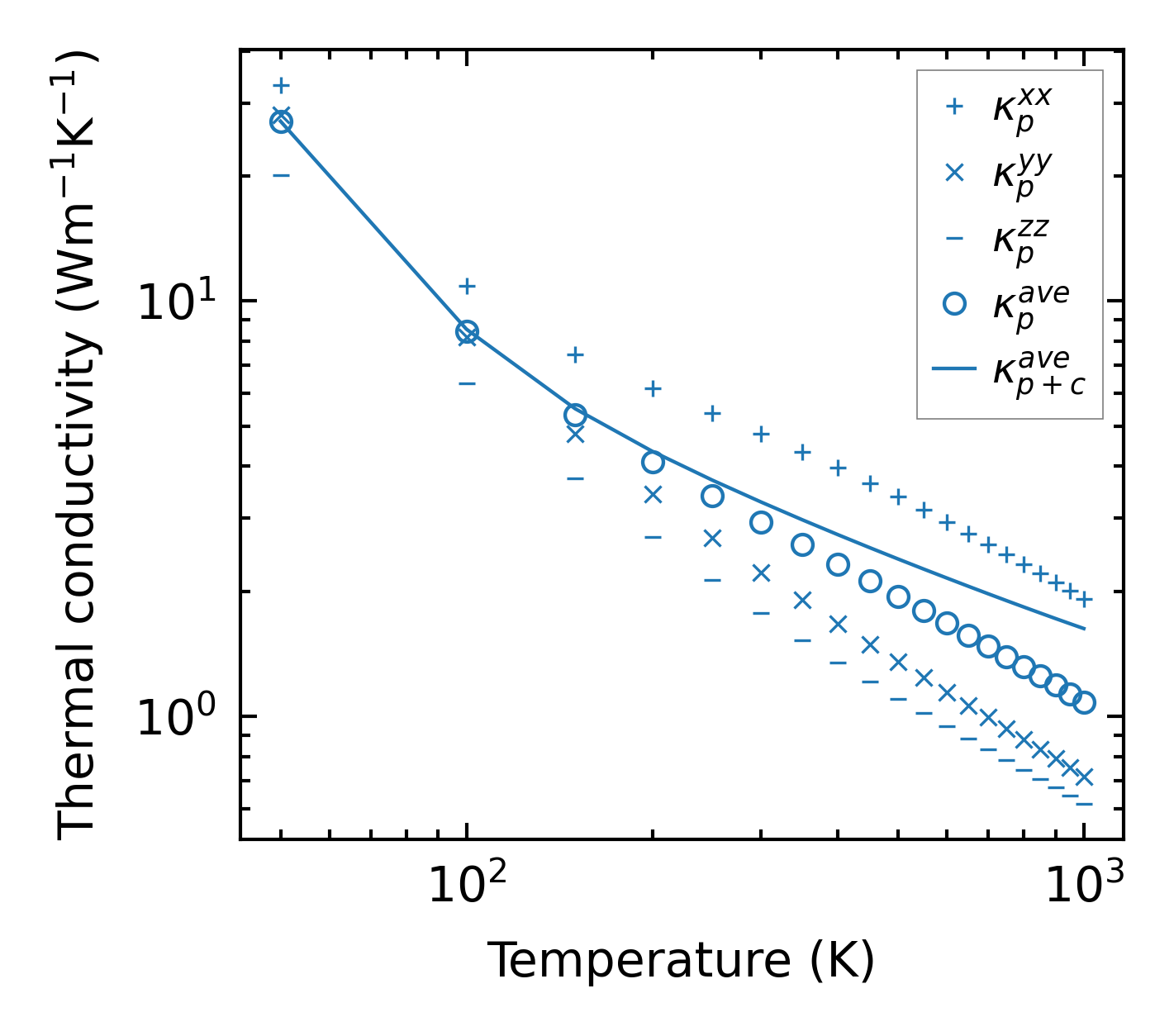
../../_images/fig_kappa3923.png

(a) Temperature-dependent lattice thermal conductivity

../../_images/fig_kappa_vs_grain_size2076.png

(b) Peierls lattice thermal conductivity w.r.t grain size

Phonon lifetime and scattering rates

../../_images/fig_lifetime2034.png

(a) Phonon lifetime due to phonon-phonon scattering

../../_images/fig_scat_rates2033.png

(b) Phonon scattering rates

Cumulative and spectral thermal conductivity

../../_images/fig_cumu_frequency2034.png

(a) Spectral and cumulative thermal conductivity w.r.t frequency

../../_images/fig_cumu_mfp2034.png

(b) Spectral and cumulative thermal conductivity w.r.t MFP

Force constants

../../_images/fig_fc24558.png

(a) Force constants w.r.t atomic distance

Summary

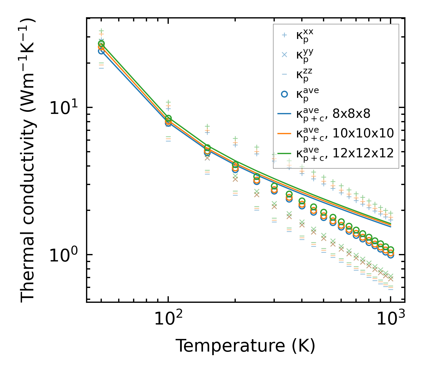
../../_images/fig_kappa3924.png

(a) Temperature-dependent lattice thermal conductivity

../../_images/fig_times8419.png

(b) Computation time