mp-639734/SiO2/harm

Equation of state

../../_images/fig_bm2829.png

(a) Equation of state

Harmonic properties

../../_images/fig_bandos_pr5701.png

(a) Phonon dispersion with participation ratio and DOS

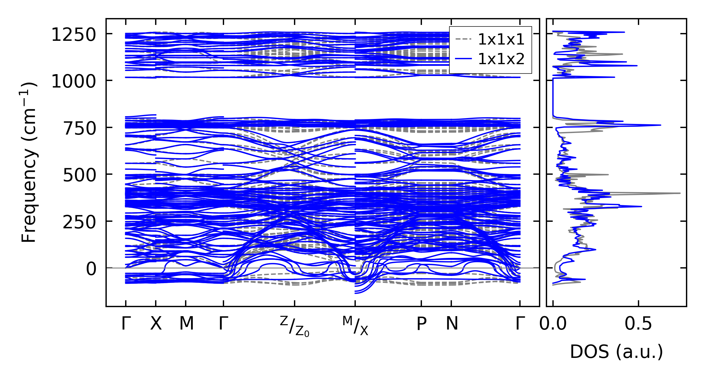
../../_images/fig_bandos8209.png

(b) Phonon dispersion and DOS

../../_images/fig_thermo5701.png

(c) Thermodynamic properties

Force constants

../../_images/fig_fc25498.png

(a) Force constants w.r.t atomic distance

Summary

../../_images/fig_times10312.png

(a) Computation time