mp-633158-2/NaTeH6O6F/harm

Equation of state

../../_images/fig_bm2781.png

(a) Equation of state

Harmonic properties

../../_images/fig_bandos_pr5645.png

(a) Phonon dispersion with participation ratio and DOS

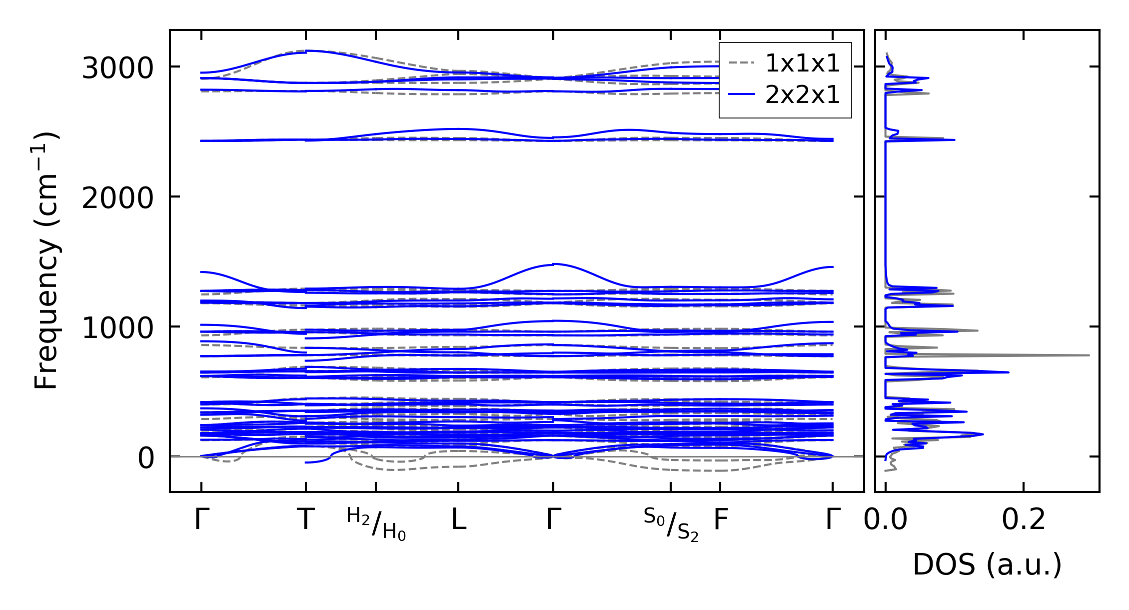
../../_images/fig_bandos8112.png

(b) Phonon dispersion and DOS

../../_images/fig_thermo5645.png

(c) Thermodynamic properties

Force constants

../../_images/fig_fc25444.png

(a) Force constants w.r.t atomic distance

Summary

../../_images/fig_times10203.png

(a) Computation time