mp-630851/Cs3NaPb4/anharm

Equation of state

../../_images/fig_bm2750.png

(a) Equation of state

Harmonic properties

../../_images/fig_bandos_pr5620.png

(a) Phonon dispersion with participation ratio and DOS

../../_images/fig_bandos8050.png

(b) Phonon dispersion and DOS

../../_images/fig_thermo5620.png

(c) Thermodynamic properties

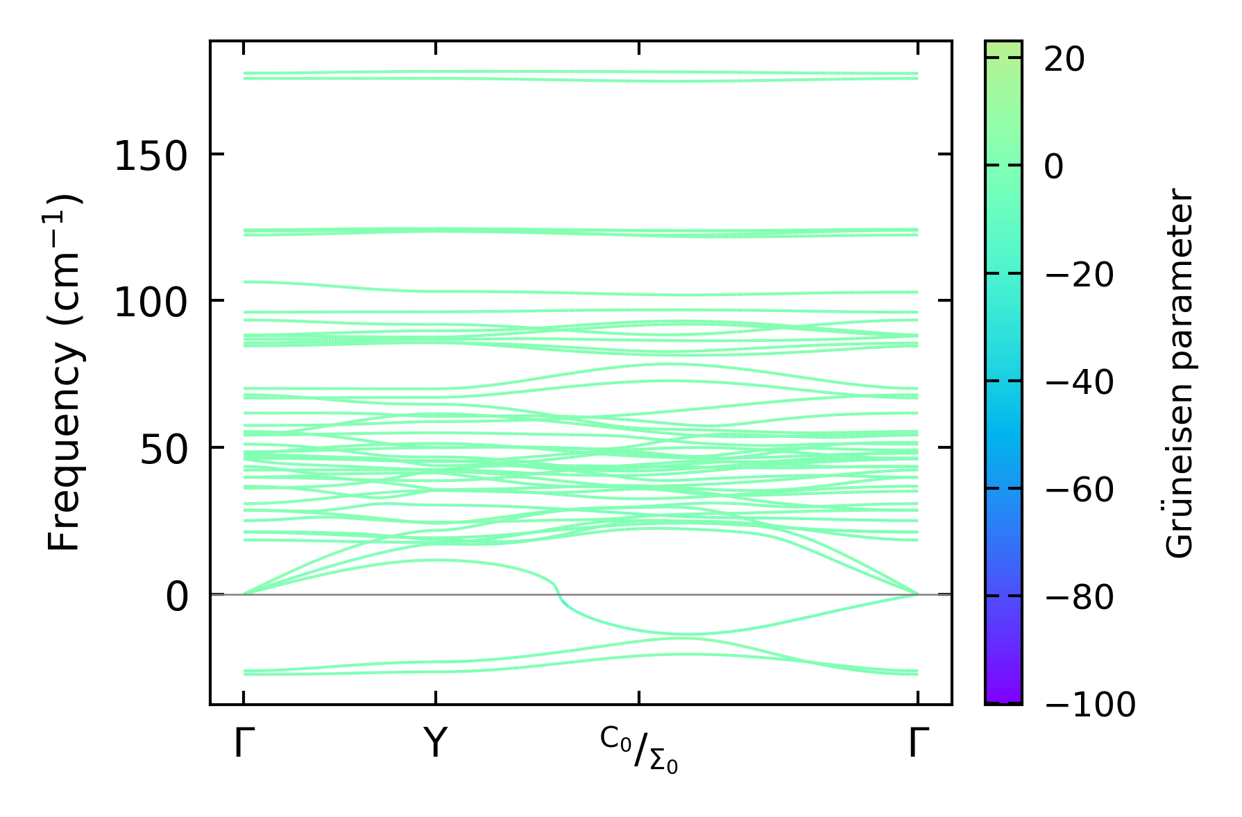
Grüneisen parameters

../../_images/fig_gru_all2351.png

(a) Grüneisen parameters

../../_images/fig_gruneisen2351.png

(b) Phonon dispersion with Grüneisen parameters

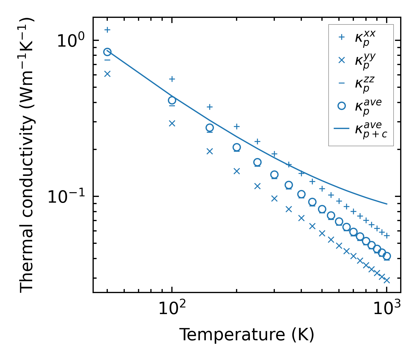
Thermal conductivity

3-phonon (LASSO), supercell 3x1x2 — q-mesh: 8x8x7, supercell: 3x1x2

../../_images/fig_kappa4491.png

(a) Temperature-dependent lattice thermal conductivity

../../_images/fig_kappa_vs_grain_size2382.png

(b) Peierls lattice thermal conductivity w.r.t grain size

Phonon lifetime and scattering rates

../../_images/fig_lifetime2336.png

(a) Phonon lifetime due to phonon-phonon scattering

../../_images/fig_scat_rates2335.png

(b) Phonon scattering rates

Cumulative and spectral thermal conductivity

../../_images/fig_cumu_frequency2336.png

(a) Spectral and cumulative thermal conductivity w.r.t frequency

../../_images/fig_cumu_mfp2336.png

(b) Spectral and cumulative thermal conductivity w.r.t MFP

Force constants

../../_images/fig_fc25421.png

(a) Force constants w.r.t atomic distance

Summary

../../_images/fig_times10137.png

(a) Computation time