mp-630528/InS/anharm

Harmonic properties

../../_images/fig_bandos_pr5619.png

(a) Phonon dispersion with participation ratio and DOS

../../_images/fig_thermo5619.png

(b) Thermodynamic properties

Grüneisen parameters

../../_images/fig_gru_all2350.png

(a) Grüneisen parameters

../../_images/fig_gruneisen2350.png

(b) Phonon dispersion with Grüneisen parameters

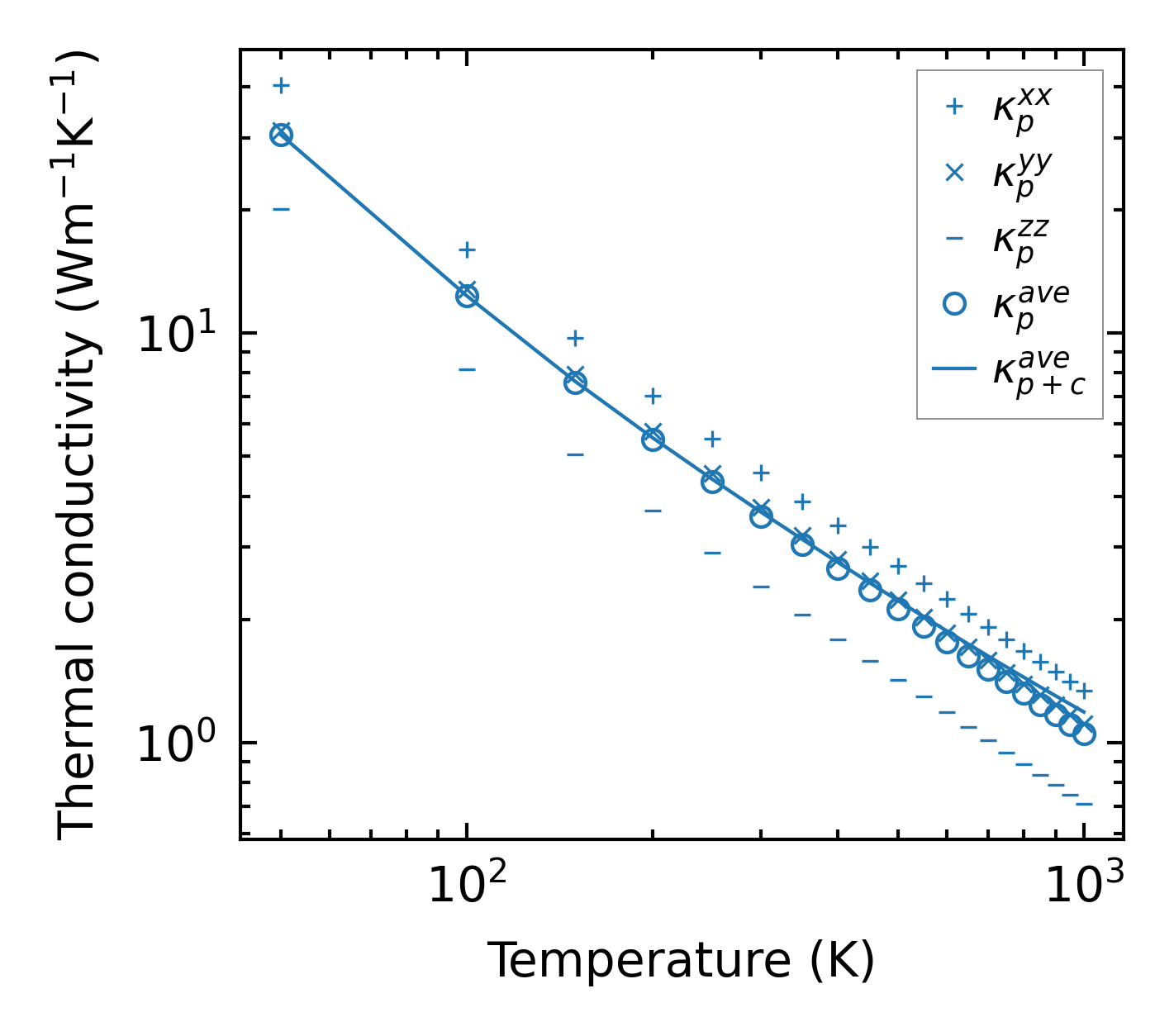
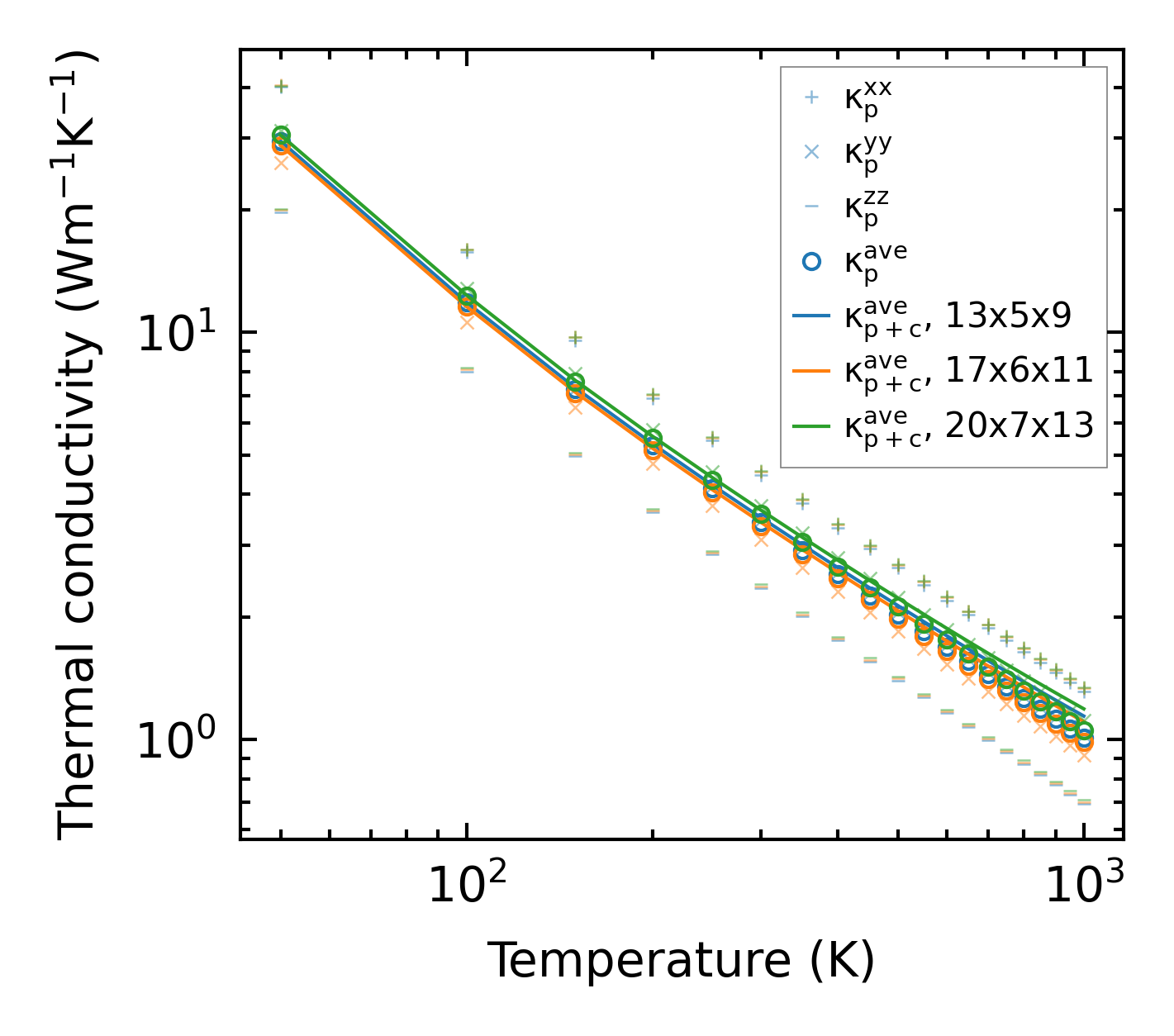
Thermal conductivity

3-phonon (LASSO) — q-mesh: 20x7x13, supercell: 3x2x3

../../_images/fig_kappa4489.png

(a) Temperature-dependent lattice thermal conductivity

../../_images/fig_kappa_vs_grain_size2381.png

(b) Peierls lattice thermal conductivity w.r.t grain size

Phonon lifetime and scattering rates

../../_images/fig_lifetime2335.png

(a) Phonon lifetime due to phonon-phonon scattering

../../_images/fig_scat_rates2334.png

(b) Phonon scattering rates

Cumulative and spectral thermal conductivity

../../_images/fig_cumu_frequency2335.png

(a) Spectral and cumulative thermal conductivity w.r.t frequency

../../_images/fig_cumu_mfp2335.png

(b) Spectral and cumulative thermal conductivity w.r.t MFP

Force constants

../../_images/fig_fc25420.png

(a) Force constants w.r.t atomic distance

Summary

../../_images/fig_kappa4490.png

(a) Temperature-dependent lattice thermal conductivity

../../_images/fig_times10133.png

(b) Computation time