mp-628647/TlHg3As2Cl3/anharm

Harmonic properties

../../_images/fig_bandos_pr5606.png

(a) Phonon dispersion with participation ratio and DOS

../../_images/fig_thermo5606.png

(b) Thermodynamic properties

Grüneisen parameters

../../_images/fig_gru_all2345.png

(a) Grüneisen parameters

../../_images/fig_gruneisen2345.png

(b) Phonon dispersion with Grüneisen parameters

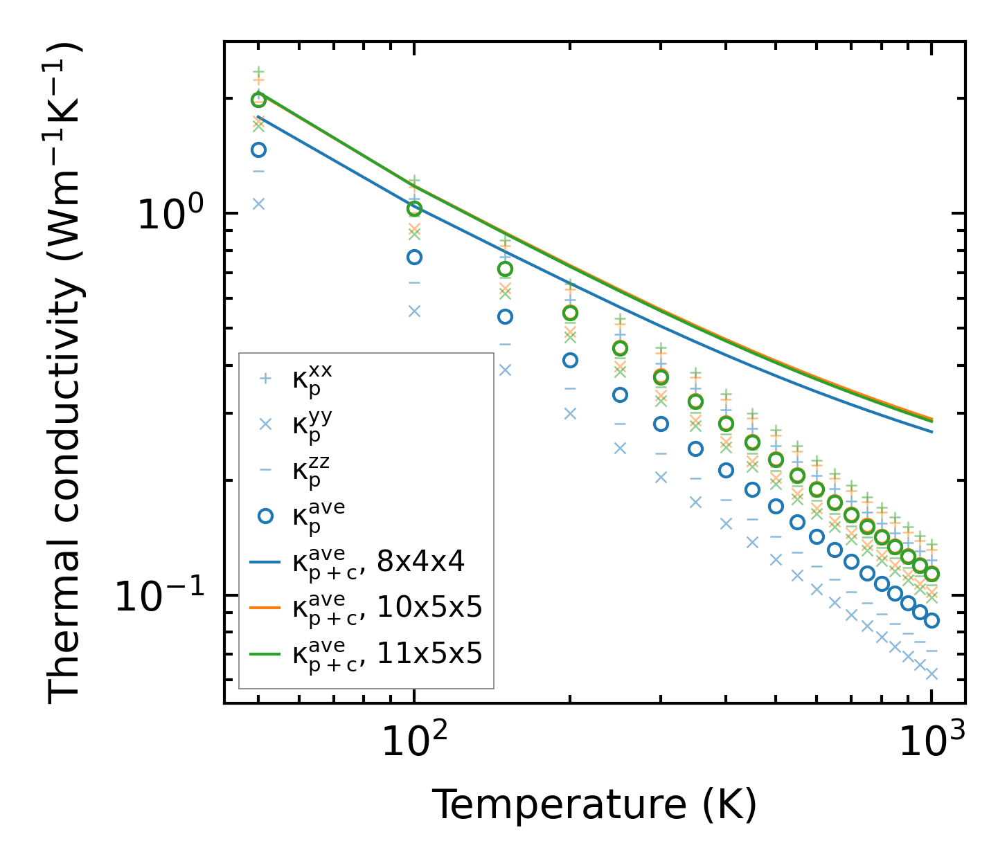
Thermal conductivity

3-phonon (LASSO) — q-mesh: 11x5x5, supercell: 2x1x2

../../_images/fig_kappa4481.png

(a) Temperature-dependent lattice thermal conductivity

../../_images/fig_kappa_vs_grain_size2376.png

(b) Peierls lattice thermal conductivity w.r.t grain size

Phonon lifetime and scattering rates

../../_images/fig_lifetime2330.png

(a) Phonon lifetime due to phonon-phonon scattering

../../_images/fig_scat_rates2329.png

(b) Phonon scattering rates

Cumulative and spectral thermal conductivity

../../_images/fig_cumu_frequency2330.png

(a) Spectral and cumulative thermal conductivity w.r.t frequency

../../_images/fig_cumu_mfp2330.png

(b) Spectral and cumulative thermal conductivity w.r.t MFP

Force constants

../../_images/fig_fc25407.png

(a) Force constants w.r.t atomic distance

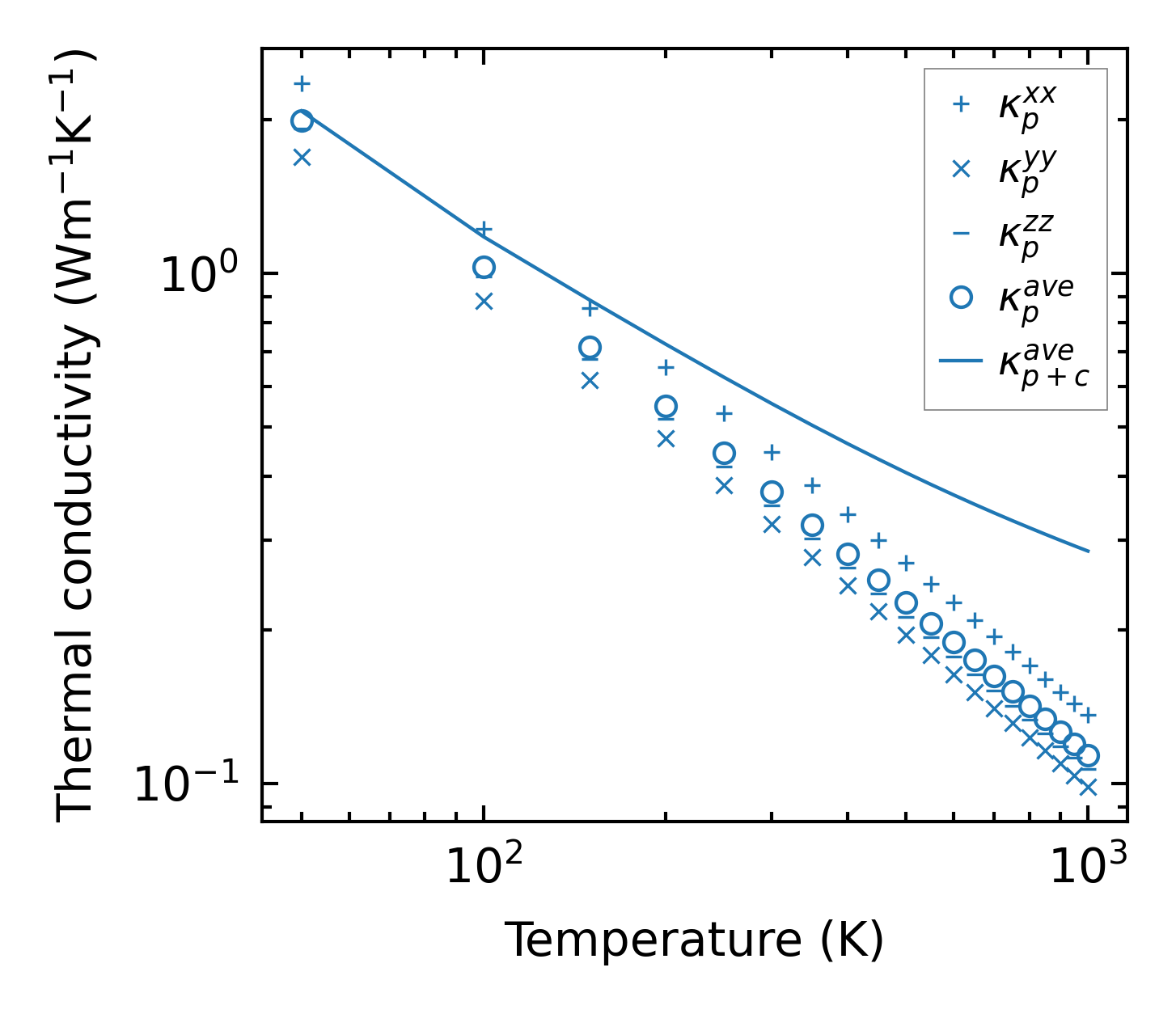
Summary

../../_images/fig_kappa4482.png

(a) Temperature-dependent lattice thermal conductivity

../../_images/fig_times10106.png

(b) Computation time