mp-628185-2/K3NaSn3Se8/anharm

Equation of state

../../_images/fig_bm2732.png

(a) Equation of state

Harmonic properties

../../_images/fig_bandos_pr5604.png

(a) Phonon dispersion with participation ratio and DOS

../../_images/fig_thermo5604.png

(b) Thermodynamic properties

Grüneisen parameters

../../_images/fig_gru_all2344.png

(a) Grüneisen parameters

../../_images/fig_gruneisen2344.png

(b) Phonon dispersion with Grüneisen parameters

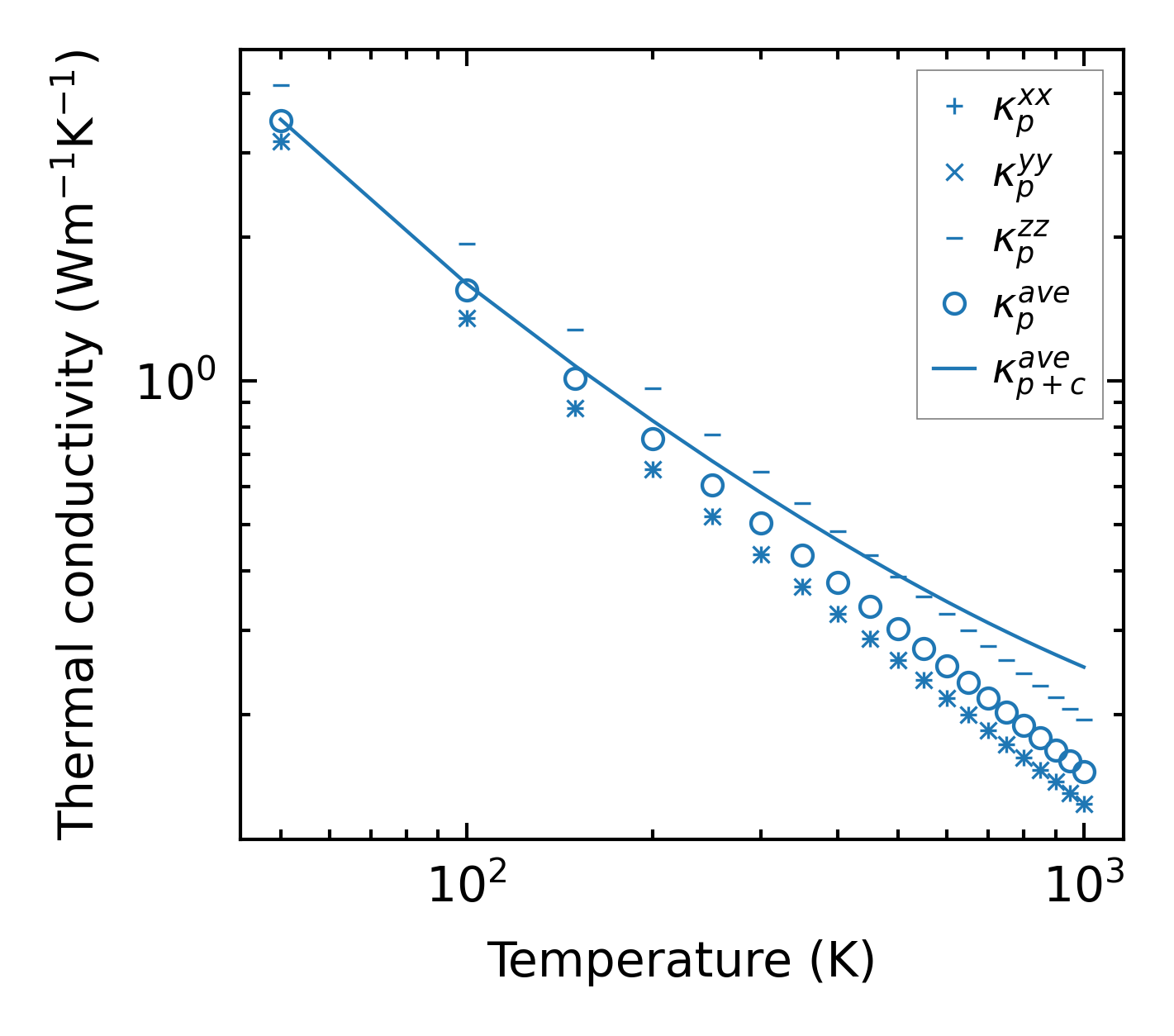
Thermal conductivity

3-phonon (LASSO) — q-mesh: 8x8x5, supercell: 2x2x1

../../_images/fig_kappa4478.png

(a) Temperature-dependent lattice thermal conductivity

../../_images/fig_kappa_vs_grain_size2374.png

(b) Peierls lattice thermal conductivity w.r.t grain size

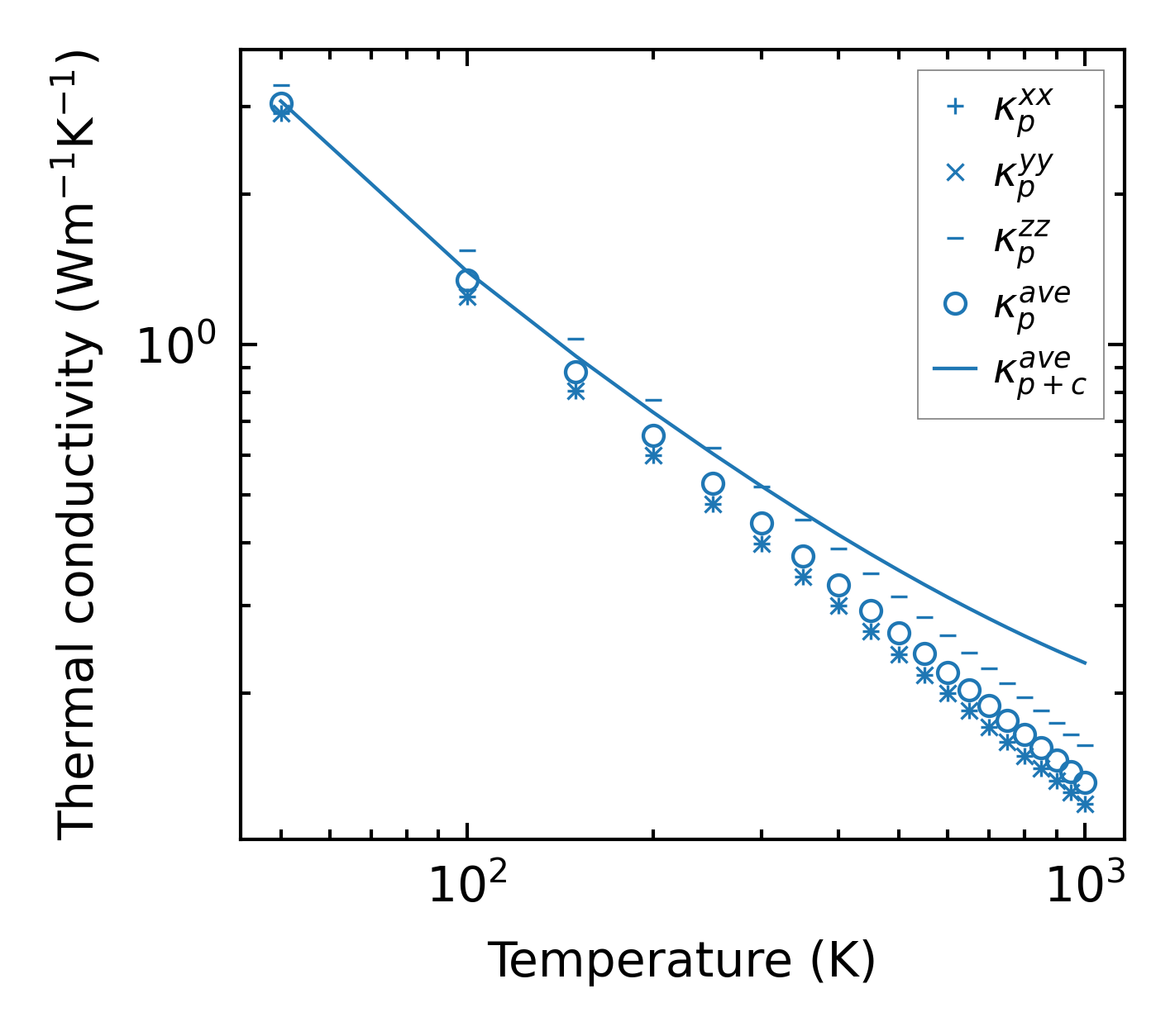
3-phonon (LASSO), supercell 2x2x2 — q-mesh: 8x8x5, supercell: 2x2x2

../../_images/fig_kappa4479.png

(a) Temperature-dependent lattice thermal conductivity

../../_images/fig_kappa_vs_grain_size2375.png

(b) Peierls lattice thermal conductivity w.r.t grain size

Phonon lifetime and scattering rates

../../_images/fig_lifetime2329.png

(a) Phonon lifetime due to phonon-phonon scattering

../../_images/fig_scat_rates2328.png

(b) Phonon scattering rates

Cumulative and spectral thermal conductivity

../../_images/fig_cumu_frequency2329.png

(a) Spectral and cumulative thermal conductivity w.r.t frequency

../../_images/fig_cumu_mfp2329.png

(b) Spectral and cumulative thermal conductivity w.r.t MFP

Force constants

../../_images/fig_fc25405.png

(a) Force constants w.r.t atomic distance

Summary

../../_images/fig_kappa4480.png

(a) Temperature-dependent lattice thermal conductivity

../../_images/fig_times10102.png

(b) Computation time