mp-614491/Tl3PSe4/anharm

Harmonic properties

../../_images/fig_bandos_pr6005.png

(a) Phonon dispersion with participation ratio and DOS

../../_images/fig_thermo6005.png

(b) Thermodynamic properties

Grüneisen parameters

../../_images/fig_gru_all2445.png

(a) Grüneisen parameters

../../_images/fig_gruneisen2445.png

(b) Phonon dispersion with Grüneisen parameters

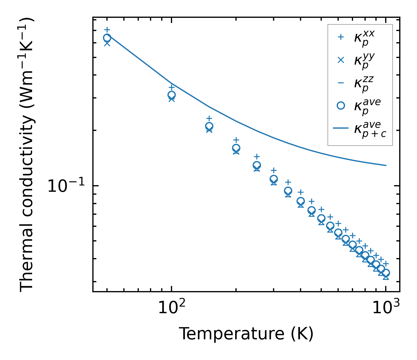
Thermal conductivity

3-phonon (LASSO) — q-mesh: 8x6x7, supercell: 2x1x2

../../_images/fig_kappa4657.png

(a) Temperature-dependent lattice thermal conductivity

../../_images/fig_kappa_vs_grain_size2476.png

(b) Peierls lattice thermal conductivity w.r.t grain size

Phonon lifetime and scattering rates

../../_images/fig_lifetime2428.png

(a) Phonon lifetime due to phonon-phonon scattering

../../_images/fig_scat_rates2427.png

(b) Phonon scattering rates

Cumulative and spectral thermal conductivity

../../_images/fig_cumu_frequency2428.png

(a) Spectral and cumulative thermal conductivity w.r.t frequency

../../_images/fig_cumu_mfp2427.png

(b) Spectral and cumulative thermal conductivity w.r.t MFP

Force constants

../../_images/fig_fc25797.png

(a) Force constants w.r.t atomic distance

Summary

../../_images/fig_kappa4658.png

(a) Temperature-dependent lattice thermal conductivity

../../_images/fig_times11003.png

(b) Computation time