mp-611448/C/anharm

Harmonic properties

../../_images/fig_bandos_pr5994.png

(a) Phonon dispersion with participation ratio and DOS

../../_images/fig_thermo5994.png

(b) Thermodynamic properties

Grüneisen parameters

../../_images/fig_gru_all2440.png

(a) Grüneisen parameters

../../_images/fig_gruneisen2440.png

(b) Phonon dispersion with Grüneisen parameters

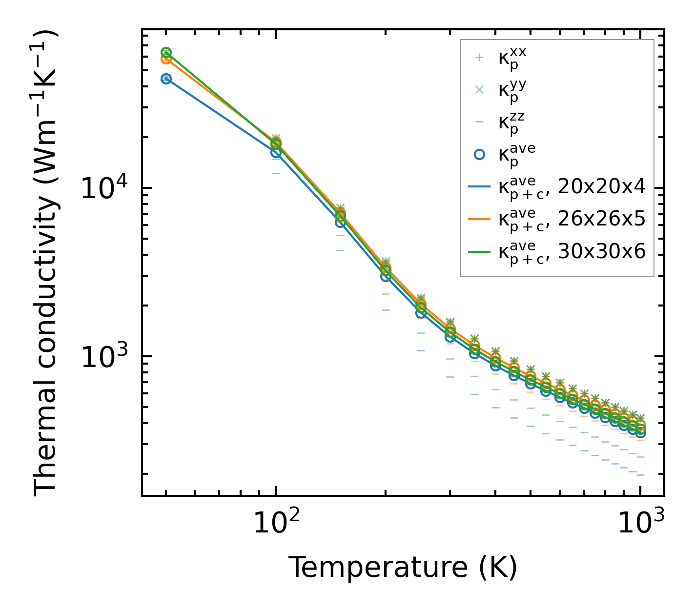
Thermal conductivity

3-phonon (LASSO) — q-mesh: 30x30x6, supercell: 3x3x1

../../_images/fig_kappa4647.png

(a) Temperature-dependent lattice thermal conductivity

../../_images/fig_kappa_vs_grain_size2471.png

(b) Peierls lattice thermal conductivity w.r.t grain size

Phonon lifetime and scattering rates

../../_images/fig_lifetime2423.png

(a) Phonon lifetime due to phonon-phonon scattering

../../_images/fig_scat_rates2422.png

(b) Phonon scattering rates

Cumulative and spectral thermal conductivity

../../_images/fig_cumu_frequency2423.png

(a) Spectral and cumulative thermal conductivity w.r.t frequency

../../_images/fig_cumu_mfp2423.png

(b) Spectral and cumulative thermal conductivity w.r.t MFP

Force constants

../../_images/fig_fc25788.png

(a) Force constants w.r.t atomic distance

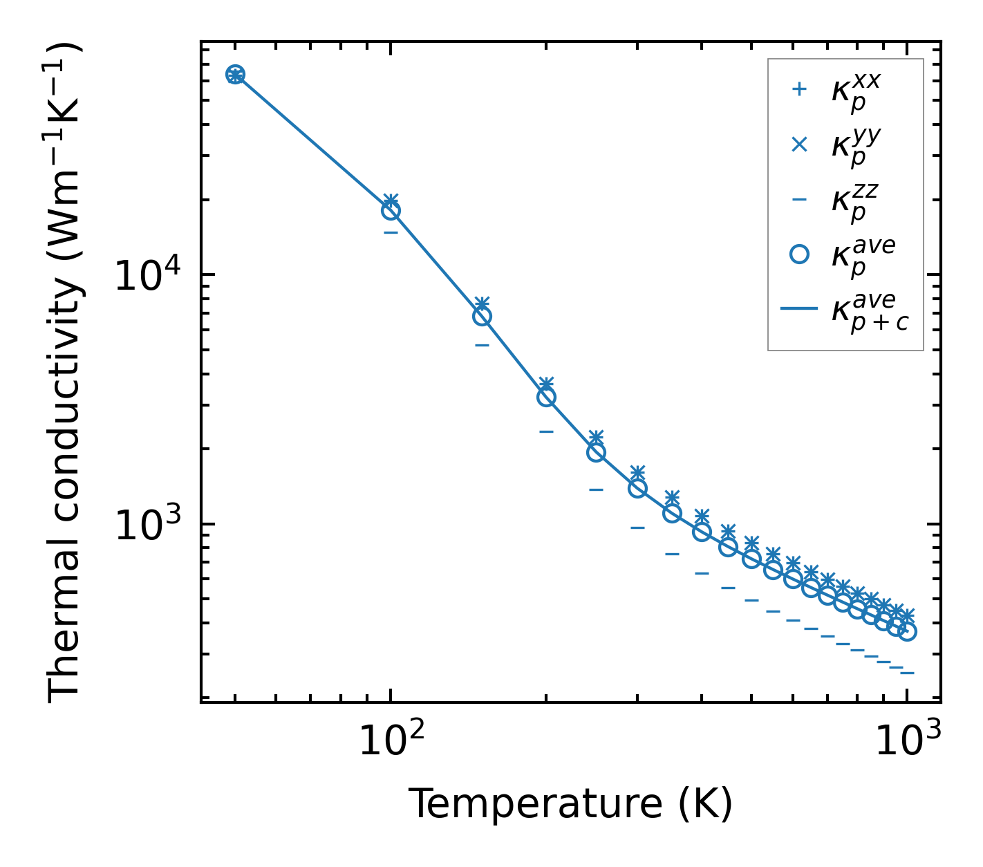
Summary

../../_images/fig_kappa4648.png

(a) Temperature-dependent lattice thermal conductivity

../../_images/fig_times10979.png

(b) Computation time