mp-611426/C/anharm

Harmonic properties

../../_images/fig_bandos_pr5993.png

(a) Phonon dispersion with participation ratio and DOS

../../_images/fig_thermo5993.png

(b) Thermodynamic properties

Grüneisen parameters

../../_images/fig_gru_all2439.png

(a) Grüneisen parameters

../../_images/fig_gruneisen2439.png

(b) Phonon dispersion with Grüneisen parameters

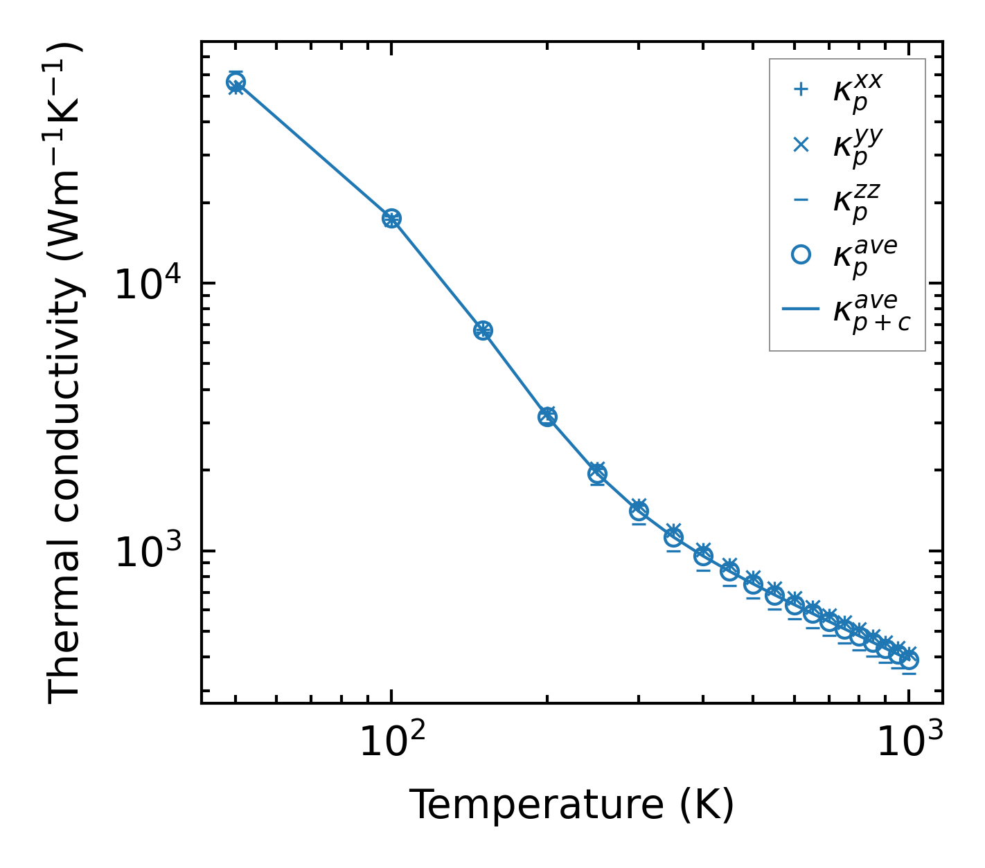
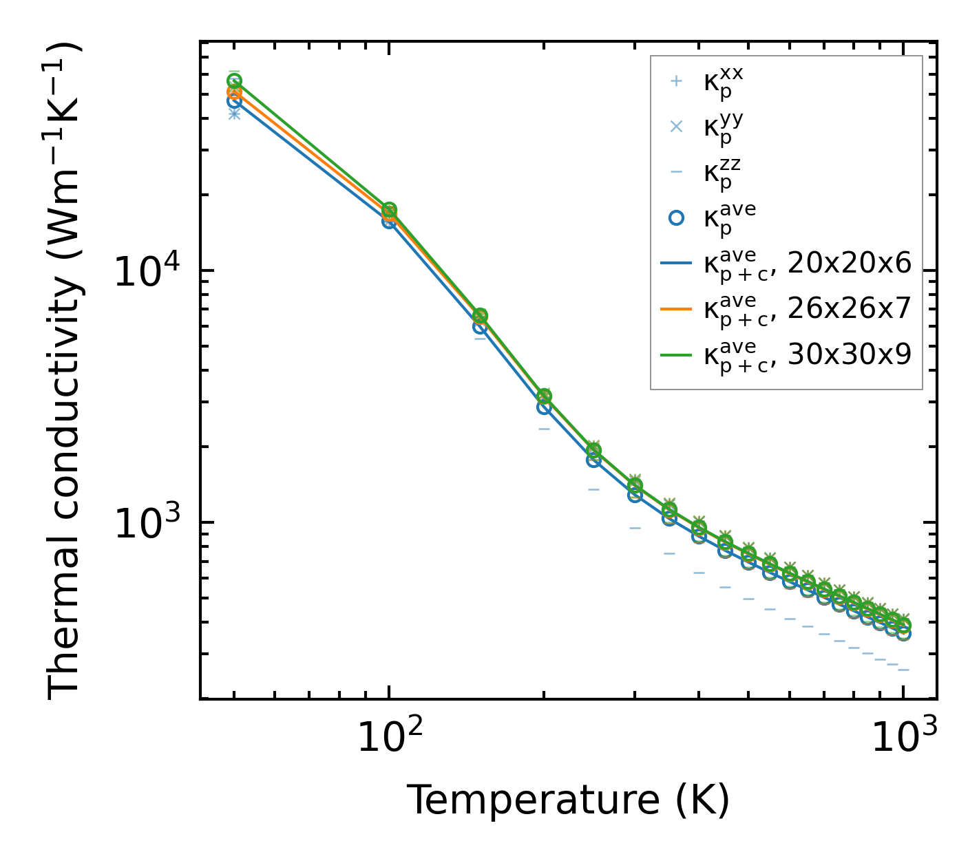
Thermal conductivity

3-phonon (LASSO) — q-mesh: 30x30x9, supercell: 4x4x1

../../_images/fig_kappa4645.png

(a) Temperature-dependent lattice thermal conductivity

../../_images/fig_kappa_vs_grain_size2470.png

(b) Peierls lattice thermal conductivity w.r.t grain size

Phonon lifetime and scattering rates

../../_images/fig_lifetime2422.png

(a) Phonon lifetime due to phonon-phonon scattering

../../_images/fig_scat_rates2421.png

(b) Phonon scattering rates

Cumulative and spectral thermal conductivity

../../_images/fig_cumu_frequency2422.png

(a) Spectral and cumulative thermal conductivity w.r.t frequency

../../_images/fig_cumu_mfp2422.png

(b) Spectral and cumulative thermal conductivity w.r.t MFP

Force constants

../../_images/fig_fc25787.png

(a) Force constants w.r.t atomic distance

Summary

../../_images/fig_kappa4646.png

(a) Temperature-dependent lattice thermal conductivity

../../_images/fig_times10978.png

(b) Computation time