mp-605821/Nd3SeBrN2/anharm

Harmonic properties

../../_images/fig_bandos_pr5962.png

(a) Phonon dispersion with participation ratio and DOS

../../_images/fig_thermo5962.png

(b) Thermodynamic properties

Grüneisen parameters

../../_images/fig_gru_all2427.png

(a) Grüneisen parameters

../../_images/fig_gruneisen2427.png

(b) Phonon dispersion with Grüneisen parameters

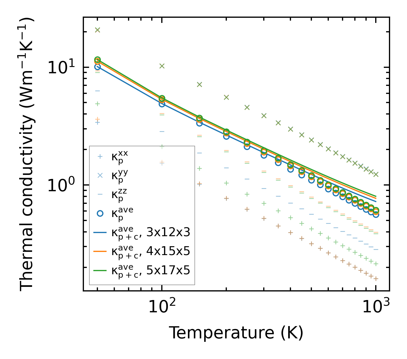
Thermal conductivity

3-phonon (LASSO) — q-mesh: 5x17x5, supercell: 1x4x1

../../_images/fig_kappa4621.png

(a) Temperature-dependent lattice thermal conductivity

../../_images/fig_kappa_vs_grain_size2458.png

(b) Peierls lattice thermal conductivity w.r.t grain size

Phonon lifetime and scattering rates

../../_images/fig_lifetime2410.png

(a) Phonon lifetime due to phonon-phonon scattering

../../_images/fig_scat_rates2409.png

(b) Phonon scattering rates

Cumulative and spectral thermal conductivity

../../_images/fig_cumu_frequency2410.png

(a) Spectral and cumulative thermal conductivity w.r.t frequency

../../_images/fig_cumu_mfp2410.png

(b) Spectral and cumulative thermal conductivity w.r.t MFP

Force constants

../../_images/fig_fc25757.png

(a) Force constants w.r.t atomic distance

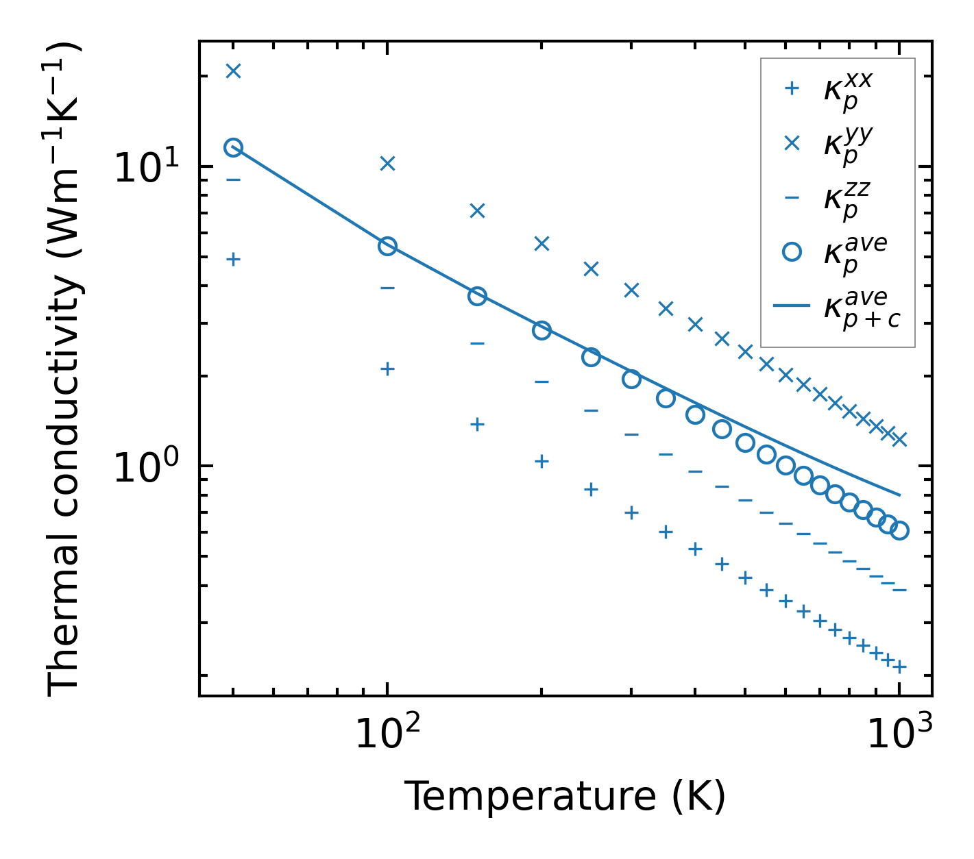
Summary

../../_images/fig_kappa4622.png

(a) Temperature-dependent lattice thermal conductivity

../../_images/fig_times10904.png

(b) Computation time