mp-1220963/NaNdS2/anharm

Harmonic properties

../../_images/fig_bandos_pr15302.png

(a) Phonon dispersion with participation ratio and DOS

../../_images/fig_thermo15301.png

(b) Thermodynamic properties

Grüneisen parameters

../../_images/fig_gru_all6604.png

(a) Grüneisen parameters

../../_images/fig_gruneisen6604.png

(b) Phonon dispersion with Grüneisen parameters

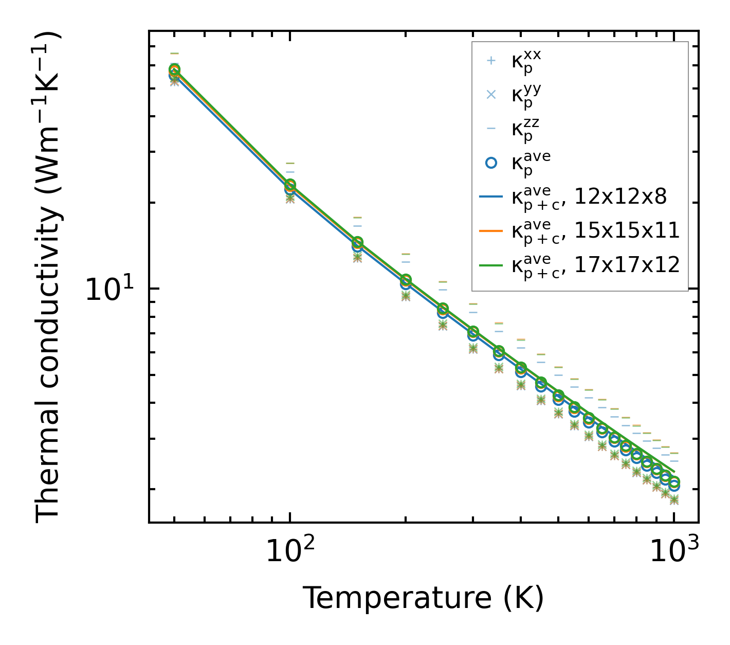
Thermal conductivity

3-phonon (LASSO) — q-mesh: 17x17x12, supercell: 3x3x3

../../_images/fig_kappa12432.png

(a) Temperature-dependent lattice thermal conductivity

../../_images/fig_kappa_vs_grain_size6682.png

(b) Peierls lattice thermal conductivity w.r.t grain size

Phonon lifetime and scattering rates

../../_images/fig_lifetime6538.png

(a) Phonon lifetime due to phonon-phonon scattering

../../_images/fig_scat_rates6537.png

(b) Phonon scattering rates

Cumulative and spectral thermal conductivity

../../_images/fig_cumu_frequency6538.png

(a) Spectral and cumulative thermal conductivity w.r.t frequency

../../_images/fig_cumu_mfp6537.png

(b) Spectral and cumulative thermal conductivity w.r.t MFP

Force constants

../../_images/fig_fc214909.png

(a) Force constants w.r.t atomic distance

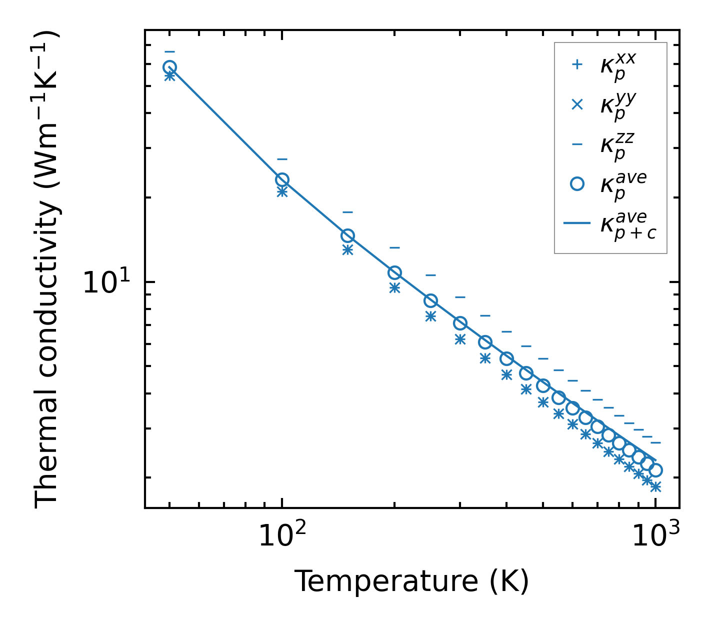
Summary

../../_images/fig_kappa12433.png

(a) Temperature-dependent lattice thermal conductivity

../../_images/fig_times25321.png

(b) Computation time