mp-1220704/NaLaSe2/anharm

Harmonic properties

../../_images/fig_bandos_pr15292.png

(a) Phonon dispersion with participation ratio and DOS

../../_images/fig_thermo15291.png

(b) Thermodynamic properties

Grüneisen parameters

../../_images/fig_gru_all6598.png

(a) Grüneisen parameters

../../_images/fig_gruneisen6598.png

(b) Phonon dispersion with Grüneisen parameters

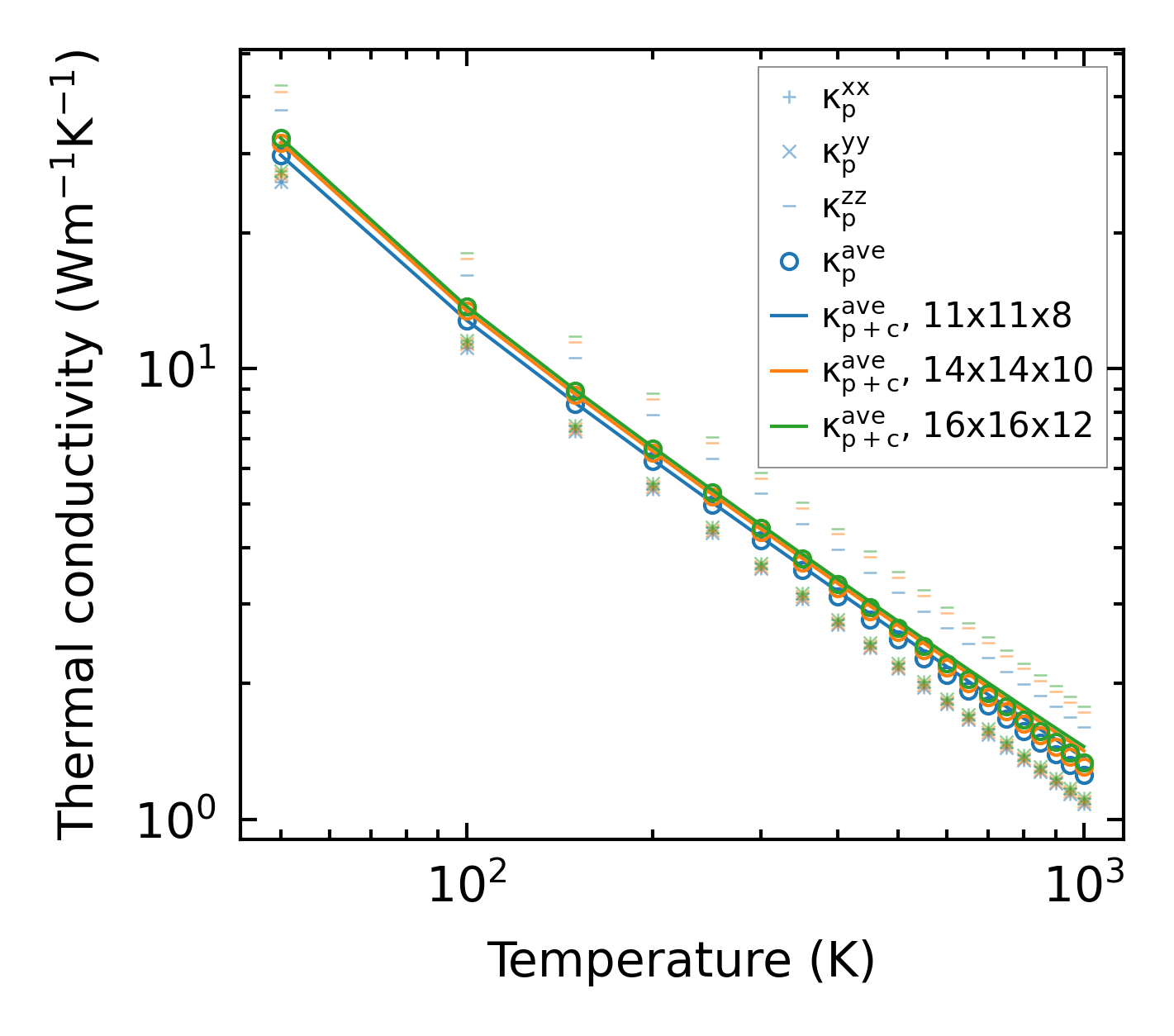
Thermal conductivity

3-phonon — q-mesh: 16x16x12, supercell: 3x3x3

../../_images/fig_kappa12420.png

(a) Temperature-dependent lattice thermal conductivity

../../_images/fig_kappa_vs_grain_size6676.png

(b) Peierls lattice thermal conductivity w.r.t grain size

Phonon lifetime and scattering rates

../../_images/fig_lifetime6532.png

(a) Phonon lifetime due to phonon-phonon scattering

../../_images/fig_scat_rates6531.png

(b) Phonon scattering rates

Cumulative and spectral thermal conductivity

../../_images/fig_cumu_frequency6532.png

(a) Spectral and cumulative thermal conductivity w.r.t frequency

../../_images/fig_cumu_mfp6531.png

(b) Spectral and cumulative thermal conductivity w.r.t MFP

Force constants

../../_images/fig_fc3392.png

(a) Force constants w.r.t atomic distance

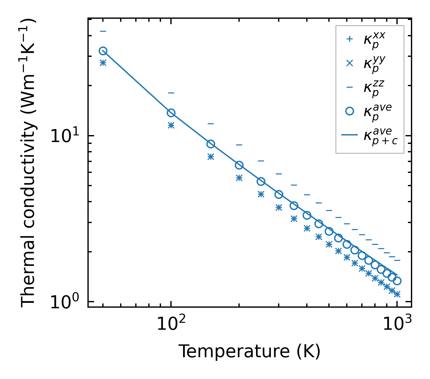
Summary

../../_images/fig_kappa12421.png

(a) Temperature-dependent lattice thermal conductivity

../../_images/fig_times25308.png

(b) Computation time