mp-1185232/LaCoO3/anharm

Harmonic properties

../../_images/fig_bandos_pr16166.png

(a) Phonon dispersion with participation ratio and DOS

../../_images/fig_thermo16165.png

(b) Thermodynamic properties

Grüneisen parameters

../../_images/fig_gru_all7016.png

(a) Grüneisen parameters

../../_images/fig_gruneisen7016.png

(b) Phonon dispersion with Grüneisen parameters

Thermal conductivity

3-phonon (LASSO) — q-mesh: 13x9x13, supercell: 2x1x2

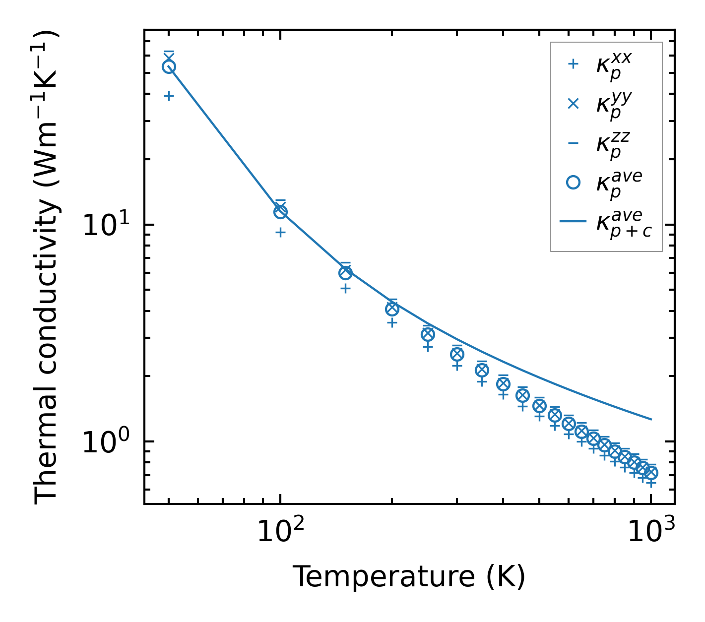
../../_images/fig_kappa13212.png

(a) Temperature-dependent lattice thermal conductivity

../../_images/fig_kappa_vs_grain_size7098.png

(b) Peierls lattice thermal conductivity w.r.t grain size

Phonon lifetime and scattering rates

../../_images/fig_lifetime6950.png

(a) Phonon lifetime due to phonon-phonon scattering

../../_images/fig_scat_rates6949.png

(b) Phonon scattering rates

Cumulative and spectral thermal conductivity

../../_images/fig_cumu_frequency6950.png

(a) Spectral and cumulative thermal conductivity w.r.t frequency

../../_images/fig_cumu_mfp6949.png

(b) Spectral and cumulative thermal conductivity w.r.t MFP

Force constants

../../_images/fig_fc215759.png

(a) Force constants w.r.t atomic distance

Summary

../../_images/fig_kappa13213.png

(a) Temperature-dependent lattice thermal conductivity

../../_images/fig_times26605.png

(b) Computation time