mp-1184046/CuCl/anharm

Harmonic properties

../../_images/fig_bandos_pr16161.png

(a) Phonon dispersion with participation ratio and DOS

../../_images/fig_thermo16160.png

(b) Thermodynamic properties

Grüneisen parameters

../../_images/fig_gru_all7012.png

(a) Grüneisen parameters

../../_images/fig_gruneisen7012.png

(b) Phonon dispersion with Grüneisen parameters

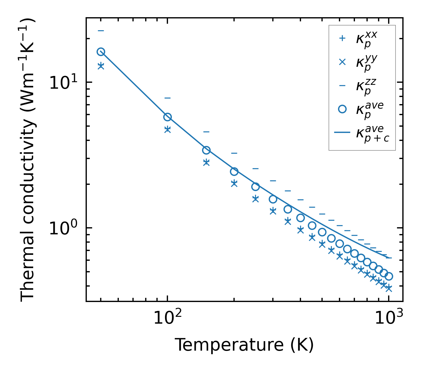
Thermal conductivity

3-phonon (LASSO) — q-mesh: 20x20x12, supercell: 4x2x2

../../_images/fig_kappa13204.png

(a) Temperature-dependent lattice thermal conductivity

../../_images/fig_kappa_vs_grain_size7094.png

(b) Peierls lattice thermal conductivity w.r.t grain size

Phonon lifetime and scattering rates

../../_images/fig_lifetime6946.png

(a) Phonon lifetime due to phonon-phonon scattering

../../_images/fig_scat_rates6945.png

(b) Phonon scattering rates

Cumulative and spectral thermal conductivity

../../_images/fig_cumu_frequency6946.png

(a) Spectral and cumulative thermal conductivity w.r.t frequency

../../_images/fig_cumu_mfp6945.png

(b) Spectral and cumulative thermal conductivity w.r.t MFP

Force constants

../../_images/fig_fc215754.png

(a) Force constants w.r.t atomic distance

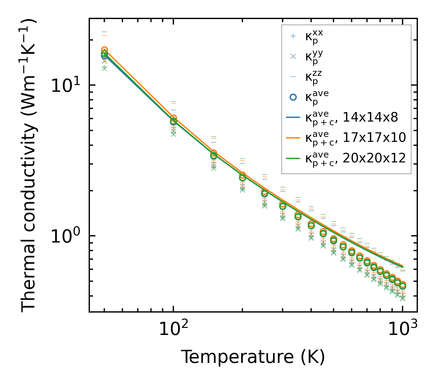
Summary

../../_images/fig_kappa13205.png

(a) Temperature-dependent lattice thermal conductivity

../../_images/fig_times26591.png

(b) Computation time