mp-1183246/AlH3/anharm

Harmonic properties

../../_images/fig_bandos_pr16157.png

(a) Phonon dispersion with participation ratio and DOS

../../_images/fig_thermo16156.png

(b) Thermodynamic properties

Grüneisen parameters

../../_images/fig_gru_all7010.png

(a) Grüneisen parameters

../../_images/fig_gruneisen7010.png

(b) Phonon dispersion with Grüneisen parameters

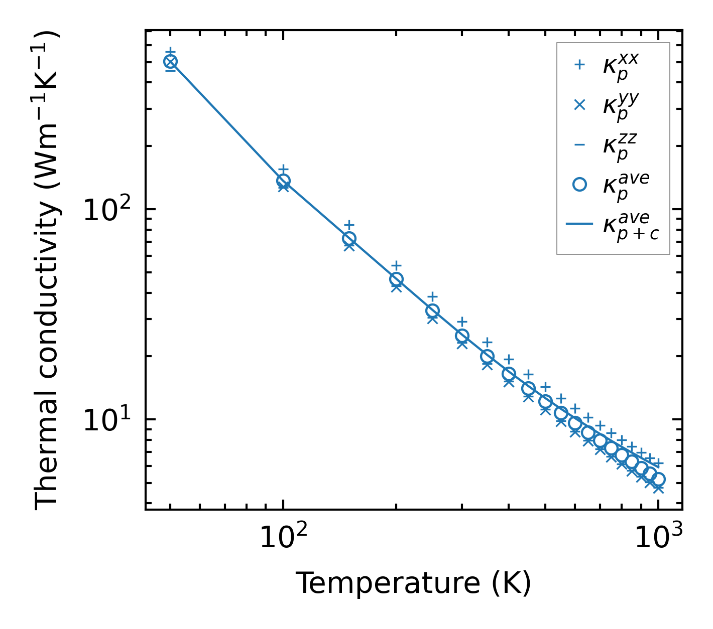
Thermal conductivity

3-phonon (LASSO) — q-mesh: 11x12x12, supercell: 1x1x2

../../_images/fig_kappa13200.png

(a) Temperature-dependent lattice thermal conductivity

../../_images/fig_kappa_vs_grain_size7092.png

(b) Peierls lattice thermal conductivity w.r.t grain size

Phonon lifetime and scattering rates

../../_images/fig_lifetime6944.png

(a) Phonon lifetime due to phonon-phonon scattering

../../_images/fig_scat_rates6943.png

(b) Phonon scattering rates

Cumulative and spectral thermal conductivity

../../_images/fig_cumu_frequency6944.png

(a) Spectral and cumulative thermal conductivity w.r.t frequency

../../_images/fig_cumu_mfp6943.png

(b) Spectral and cumulative thermal conductivity w.r.t MFP

Force constants

../../_images/fig_fc215750.png

(a) Force constants w.r.t atomic distance

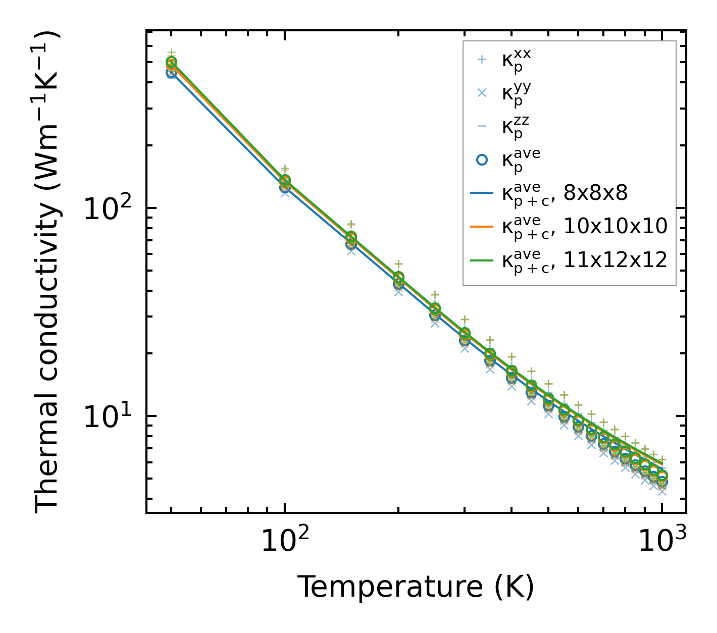
Summary

../../_images/fig_kappa13201.png

(a) Temperature-dependent lattice thermal conductivity

../../_images/fig_times26575.png

(b) Computation time