mp-1183115/AcAlO3/anharm

Harmonic properties

../../_images/fig_bandos_pr16155.png

(a) Phonon dispersion with participation ratio and DOS

../../_images/fig_thermo16154.png

(b) Thermodynamic properties

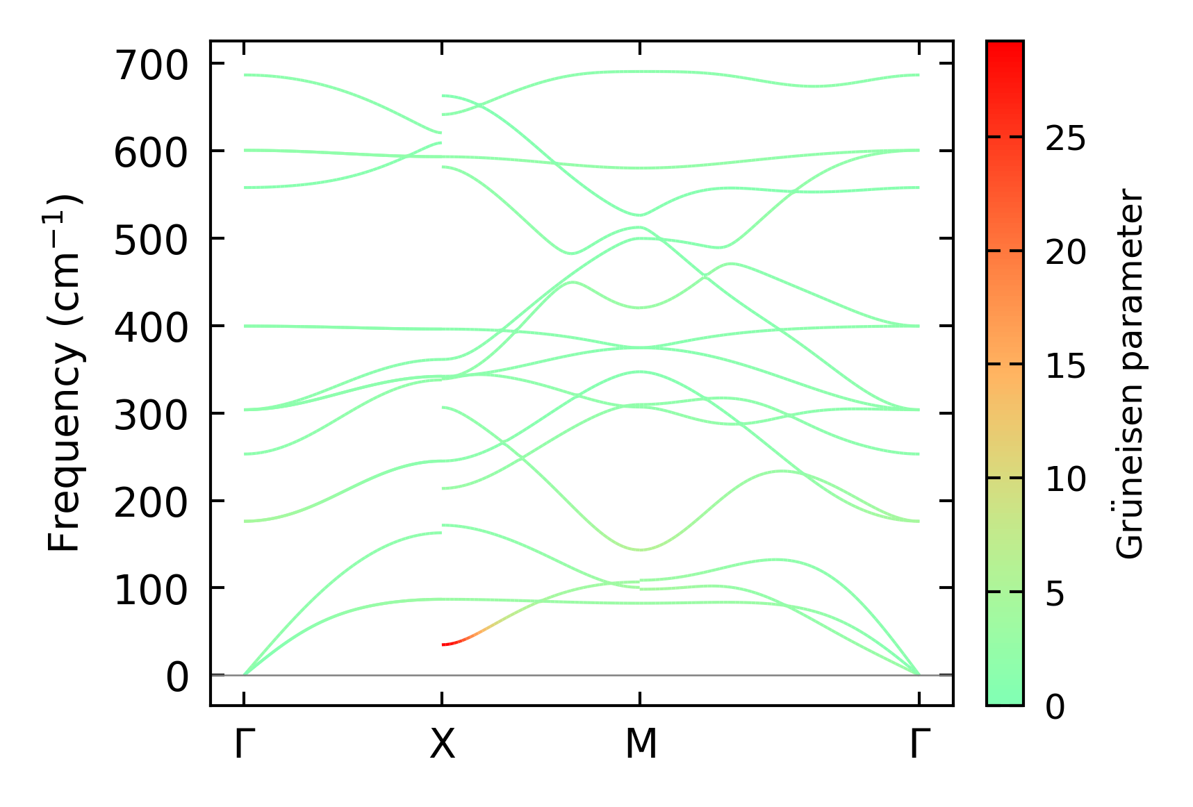
Grüneisen parameters

../../_images/fig_gru_all7008.png

(a) Grüneisen parameters

../../_images/fig_gruneisen7008.png

(b) Phonon dispersion with Grüneisen parameters

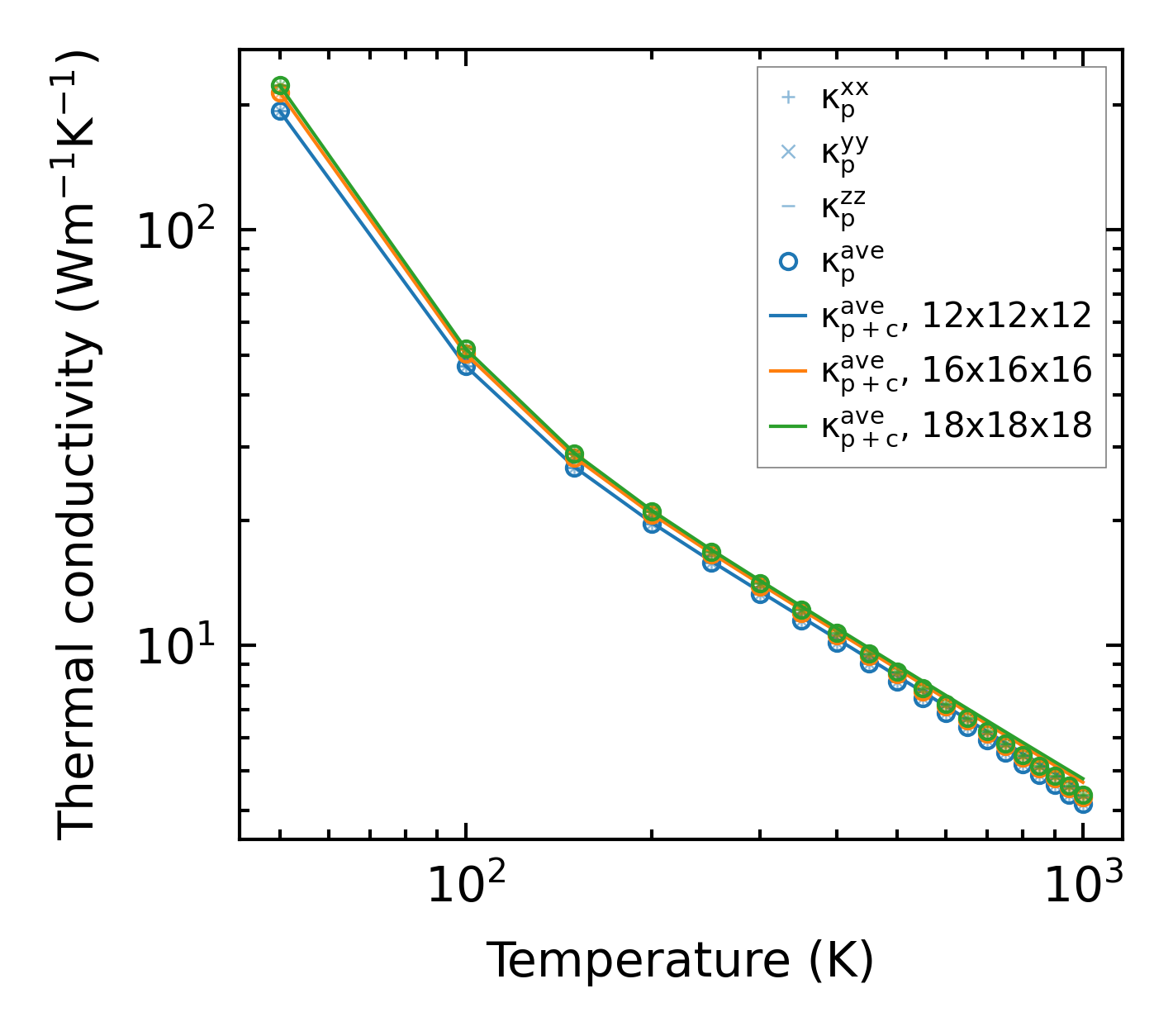
Thermal conductivity

3-phonon (LASSO) — q-mesh: 18x18x18, supercell: 3x3x3

../../_images/fig_kappa13196.png

(a) Temperature-dependent lattice thermal conductivity

../../_images/fig_kappa_vs_grain_size7090.png

(b) Peierls lattice thermal conductivity w.r.t grain size

Phonon lifetime and scattering rates

../../_images/fig_lifetime6942.png

(a) Phonon lifetime due to phonon-phonon scattering

../../_images/fig_scat_rates6941.png

(b) Phonon scattering rates

Cumulative and spectral thermal conductivity

../../_images/fig_cumu_frequency6942.png

(a) Spectral and cumulative thermal conductivity w.r.t frequency

../../_images/fig_cumu_mfp6941.png

(b) Spectral and cumulative thermal conductivity w.r.t MFP

Force constants

../../_images/fig_fc215749.png

(a) Force constants w.r.t atomic distance

Summary

../../_images/fig_kappa13197.png

(a) Temperature-dependent lattice thermal conductivity

../../_images/fig_times26570.png

(b) Computation time