mp-1120732/VIn3S4/anharm

Harmonic properties

../../_images/fig_bandos_pr16085.png

(a) Phonon dispersion with participation ratio and DOS

../../_images/fig_thermo16084.png

(b) Thermodynamic properties

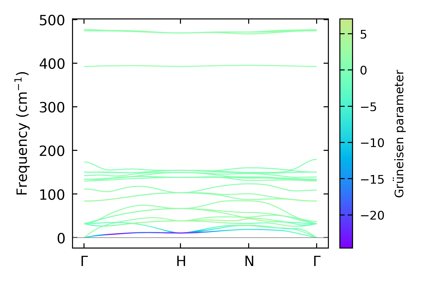
Grüneisen parameters

../../_images/fig_gru_all6970.png

(a) Grüneisen parameters

../../_images/fig_gruneisen6970.png

(b) Phonon dispersion with Grüneisen parameters

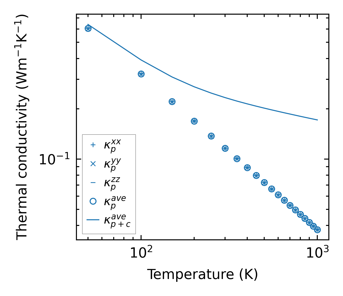
Thermal conductivity

3-phonon (LASSO) — q-mesh: 12x12x12, supercell: 2x2x2

../../_images/fig_kappa13120.png

(a) Temperature-dependent lattice thermal conductivity

../../_images/fig_kappa_vs_grain_size7052.png

(b) Peierls lattice thermal conductivity w.r.t grain size

Phonon lifetime and scattering rates

../../_images/fig_lifetime6904.png

(a) Phonon lifetime due to phonon-phonon scattering

../../_images/fig_scat_rates6903.png

(b) Phonon scattering rates

Cumulative and spectral thermal conductivity

../../_images/fig_cumu_frequency6904.png

(a) Spectral and cumulative thermal conductivity w.r.t frequency

../../_images/fig_cumu_mfp6903.png

(b) Spectral and cumulative thermal conductivity w.r.t MFP

Force constants

../../_images/fig_fc215680.png

(a) Force constants w.r.t atomic distance

Summary

../../_images/fig_kappa13121.png

(a) Temperature-dependent lattice thermal conductivity

../../_images/fig_times26452.png

(b) Computation time