mp-1100435/ZrCuB/anharm

Harmonic properties

../../_images/fig_bandos_pr16733.png

(a) Phonon dispersion with participation ratio and DOS

../../_images/fig_thermo16732.png

(b) Thermodynamic properties

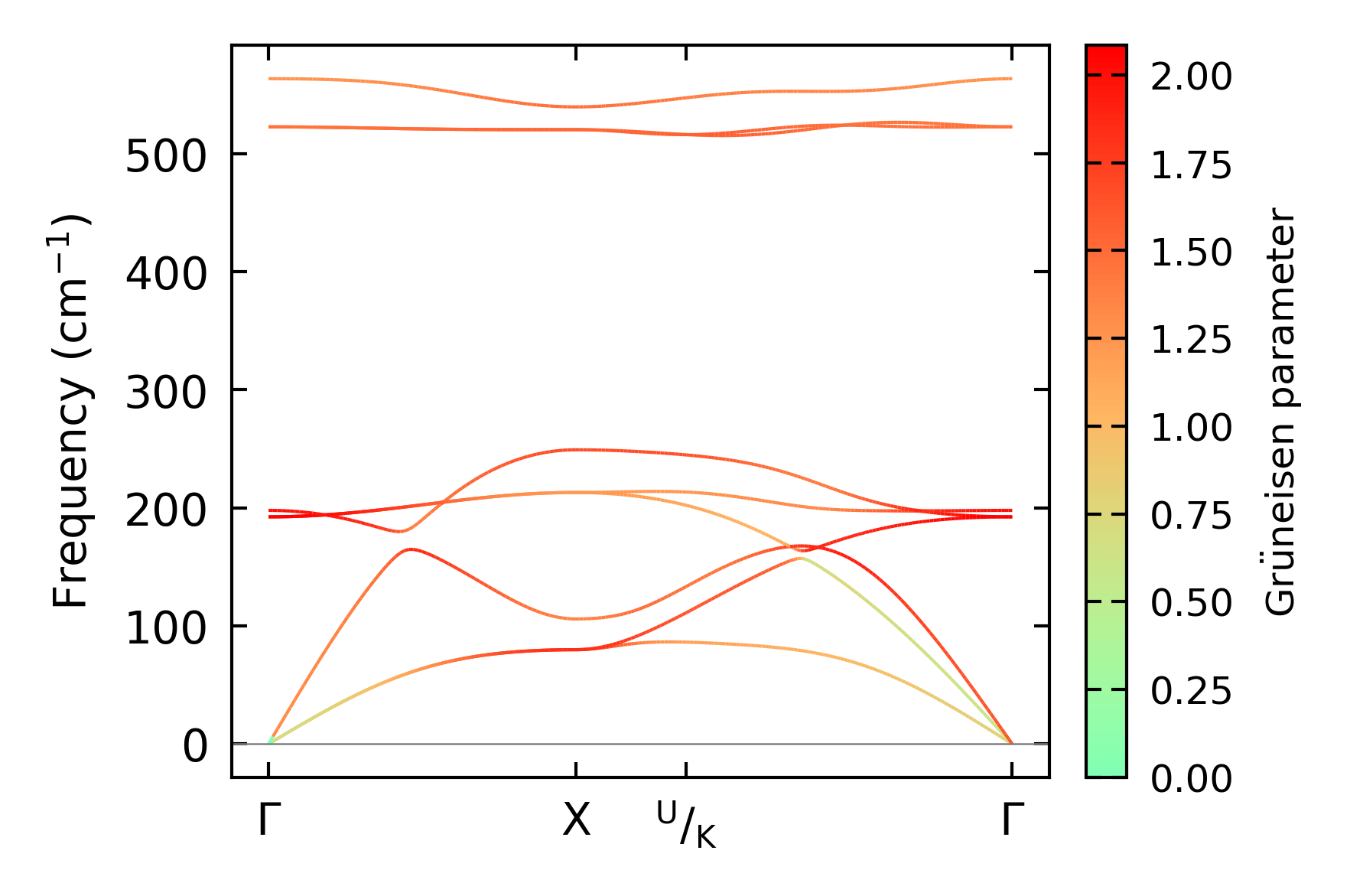
Grüneisen parameters

../../_images/fig_gru_all7294.png

(a) Grüneisen parameters

../../_images/fig_gruneisen7294.png

(b) Phonon dispersion with Grüneisen parameters

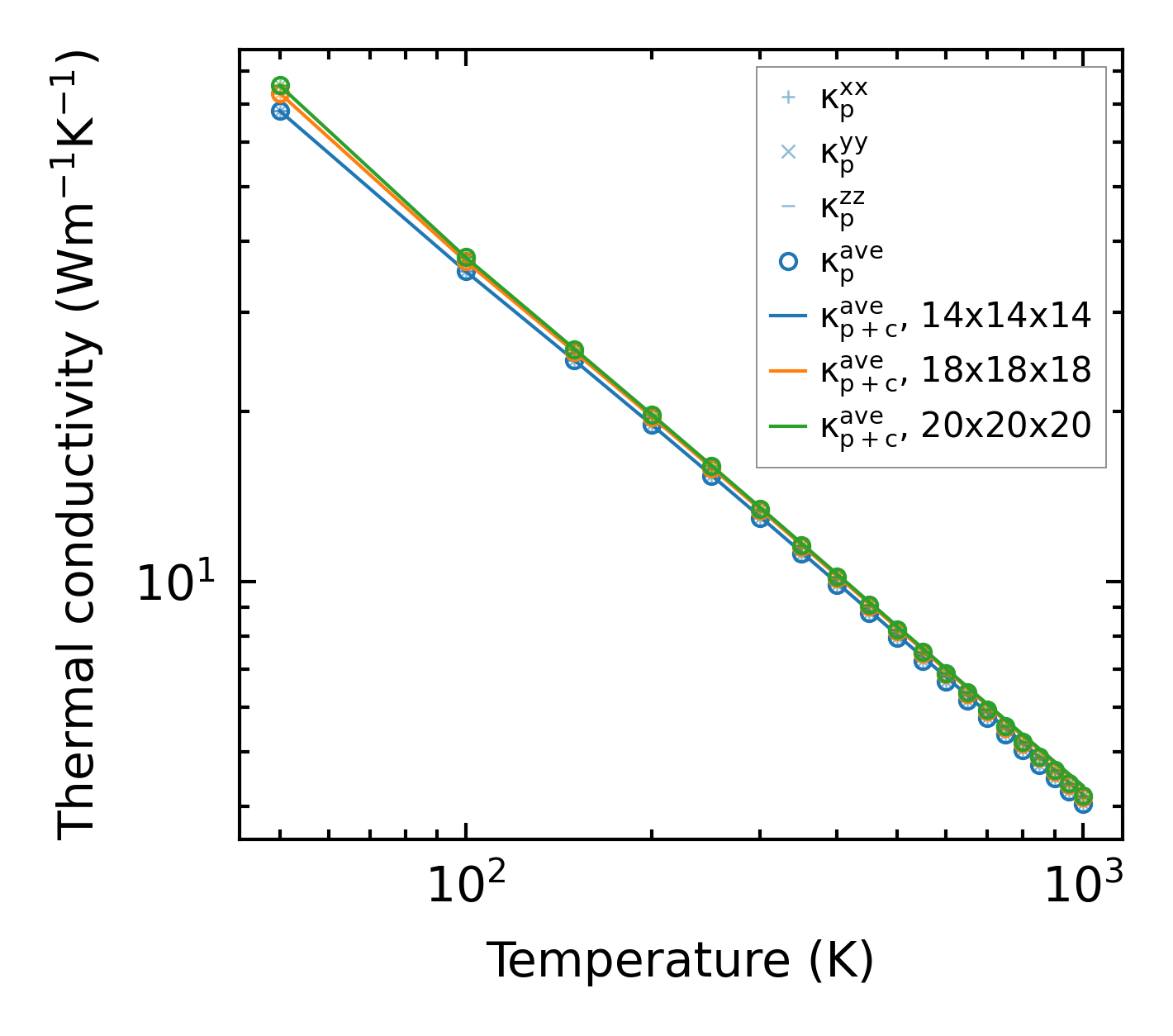
Thermal conductivity

3-phonon — q-mesh: 20x20x20, supercell: 2x2x2

../../_images/fig_kappa13754.png

(a) Temperature-dependent lattice thermal conductivity

../../_images/fig_kappa_vs_grain_size7380.png

(b) Peierls lattice thermal conductivity w.r.t grain size

Phonon lifetime and scattering rates

../../_images/fig_lifetime7228.png

(a) Phonon lifetime due to phonon-phonon scattering

../../_images/fig_scat_rates7227.png

(b) Phonon scattering rates

Cumulative and spectral thermal conductivity

../../_images/fig_cumu_frequency7228.png

(a) Spectral and cumulative thermal conductivity w.r.t frequency

../../_images/fig_cumu_mfp7227.png

(b) Spectral and cumulative thermal conductivity w.r.t MFP

Force constants

../../_images/fig_fc3440.png

(a) Force constants w.r.t atomic distance

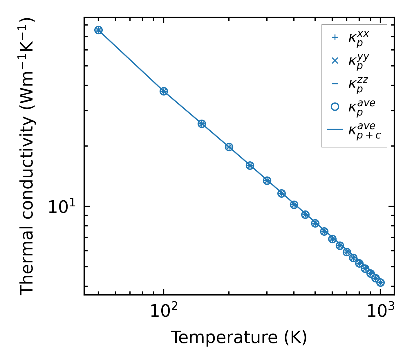
Summary

../../_images/fig_kappa13755.png

(a) Temperature-dependent lattice thermal conductivity

../../_images/fig_times27343.png

(b) Computation time