mp-1100395/BaBrCl/anharm

Harmonic properties

../../_images/fig_bandos_pr16725.png

(a) Phonon dispersion with participation ratio and DOS

../../_images/fig_thermo16724.png

(b) Thermodynamic properties

Grüneisen parameters

../../_images/fig_gru_all7286.png

(a) Grüneisen parameters

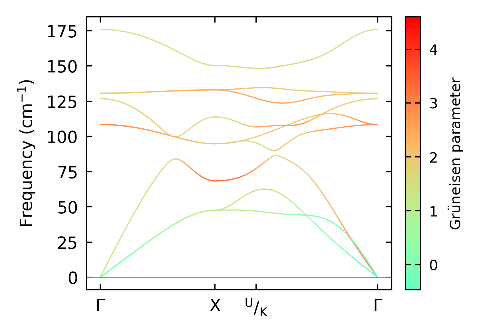
../../_images/fig_gruneisen7286.png

(b) Phonon dispersion with Grüneisen parameters

Thermal conductivity

3-phonon — q-mesh: 15x15x15, supercell: 2x2x2

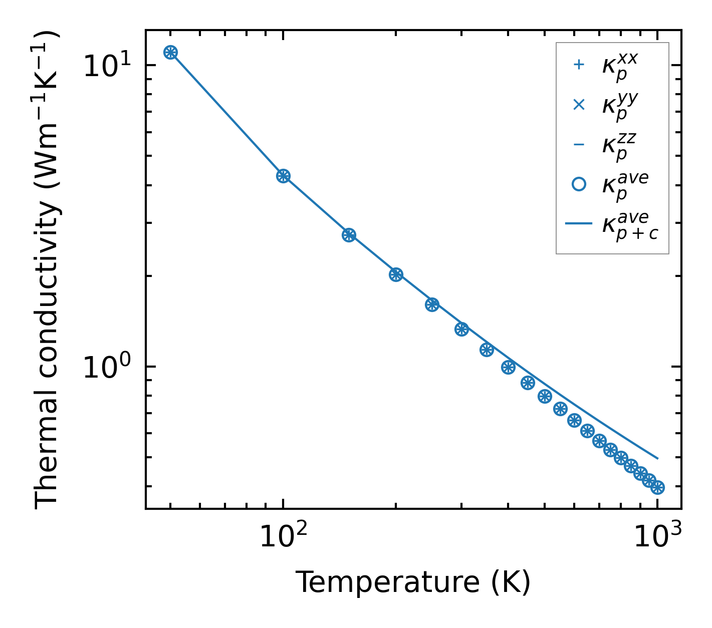
../../_images/fig_kappa13738.png

(a) Temperature-dependent lattice thermal conductivity

../../_images/fig_kappa_vs_grain_size7372.png

(b) Peierls lattice thermal conductivity w.r.t grain size

Phonon lifetime and scattering rates

../../_images/fig_lifetime7220.png

(a) Phonon lifetime due to phonon-phonon scattering

../../_images/fig_scat_rates7219.png

(b) Phonon scattering rates

Cumulative and spectral thermal conductivity

../../_images/fig_cumu_frequency7220.png

(a) Spectral and cumulative thermal conductivity w.r.t frequency

../../_images/fig_cumu_mfp7219.png

(b) Spectral and cumulative thermal conductivity w.r.t MFP

Force constants

../../_images/fig_fc3433.png

(a) Force constants w.r.t atomic distance

Summary

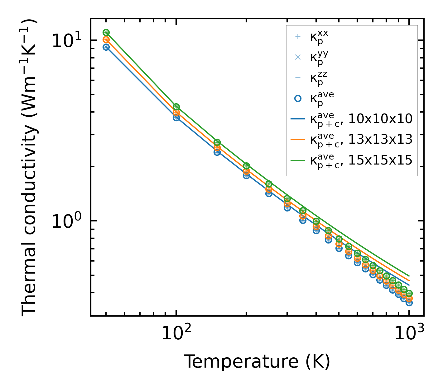
../../_images/fig_kappa13739.png

(a) Temperature-dependent lattice thermal conductivity

../../_images/fig_times27332.png

(b) Computation time